Ý nghĩa của tổng độ méo hài THD trong hệ thống điện

Tổng độ méo sóng hài THD là chỉ số đo sóng hài để đánh giá chất lượng dòng điện. Sóng hài là dạng sóng có hại cho thiết bị điện và cần được loại bỏ bằng nhiều phương pháp. Tìm hiểu về biến dạng sóng hài tổng THD trong bài viết dưới đây sẽ giúp bạn áp dụng các phương pháp giảm sóng hài hiệu quả hơn.

tong do meow hai thd banner

Nguyên nhân của sóng hài

Dạng sóng phổ biến của nguồn điện xoay chiều là hình sin thuần túy có tần số 50Hz và 60Hz. Trong thực tế, dòng điện xoay chiều lý tưởng thường bị nhiễu bởi các sóng hài bậc cao có tần số gấp bội số tần số dòng điện thông thường.

đôi 1

Sự biến dạng dòng điện tạo ra sóng hài do tác động của các thiết bị chuyển đổi nguồn như bộ biến tần và bộ chỉnh lưu công nghiệp. Biến tần có khả năng điều chỉnh tốc độ của động cơ bằng cách chuyển đổi điện áp, tần số thành giá trị phù hợp và tạo ra sóng hài.

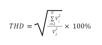
Ý nghĩa của độ méo hài tổng (THD)

Tổng độ méo hài (THD) là tỷ lệ giữa thành phần sóng hài và thành phần sóng cơ bản. Đây là chỉ số quan trọng để đánh giá sóng hài trong nguồn điện. THD được tính theo công thức sau:

Xem thêm  Hướng dẫn đọc sơ đồ nguyên lý tủ điện hạ thế chính xác

curcuma trong hai trường hợp 1

Trong đó:

  • THD: Tổng độ méo sóng hài
  • Vi: Giá trị hiệu dụng của hài điện áp bậc i với N là hài bậc cao nhất cần đánh giá
  • VI: Giá trị hiệu dụng của điện áp cơ bản tần số 50Hz

THD cũng được sử dụng để phân tích các dạng sóng rung và âm thanh. THD bao gồm THD-F (sóng hài cơ bản) và THD-R (sóng hài RMS)

Tiêu chuẩn về độ méo hài tổng THD

THD hay giới hạn hàm lượng hài của từng cấp được quy định trong các tiêu chuẩn IEC 61000-3-2, EN 50160 và IEEE 519. Các giới hạn này bao gồm nhiều yếu tố như điện áp nguồn, dòng điện định mức,… Giá trị THD trong điện áp thường dao động từ 1% đến dưới 10%. Hiện tại, giá trị này có thể vượt quá 100% khi có quá nhiều sóng hài.

Ví dụ, trong tiêu chuẩn EN 50160, giới hạn hàm lượng hài ở điện áp dưới 1000V được thể hiện trong bảng sau:

cấp Giá trị tới hạn
THD 8%
2 2%
3 5%
4 1%
5 6%
6 0,5%
7 5%
9 1,5%
11 3,5%

Cách đo THD

Để đo THD, bạn có thể sử dụng các thiết bị đo chuyên dụng như Máy hiện sóng, Máy phân tích phổ, Máy phân tích độ méo, v.v. Cách đo là đưa sóng hình sin thuần túy vào bộ khuếch đại trong cấu hình mạch xác định. Tiếp theo, cần điều chỉnh mức công suất đầu vào của amply để đạt được mức công suất mong muốn. Cuối cùng, quan sát phổ hài đầu ra của bộ khuếch đại trên máy phân tích phổ so với biên độ của tín hiệu đầu ra cơ bản.

Xem thêm  Tủ công tơ điện: Thông số kỹ thuật, cấu tạo & ứng dụng

=>> Đọc thêm: Hướng dẫn 5 phương pháp lọc sóng hài hiệu quả

Mức độ méo hiện có ở đầu ra của bộ khuếch đại phụ thuộc vào một số thông số như:

  • Biên độ hoặc mức công suất đầu ra của bộ khuếch đại
  • Tần số khuếch đại
  • Thiết bị bên máy xúc
  • Điện áp nguồn khuếch đại
  • Một số yếu tố khác: board mạch, dây nối đất, nhiệt độ,…

Công thức đo THD theo công suất:

đồ ăn

Công thức đo THD theo điện áp:

đồ ăn

Ghi chú:

  • n = 1 là tần số cơ bản của tín hiệu thử nghiệm đưa vào bộ khuếch đại thử nghiệm.
  • Chuyển đổi dBm sang W: đồ ăn
  • Chuyển đổi Vpk sang Vrms:đồ ăn

Tham khảo bảng giá trị sau:

Tần số (GHz) Mức độ hài hước Công suất đầu ra (dBm) Công suất đầu ra (μW)
2,5 1 16.17 41400
5 2 -35,3 0,2951
7,5 3 -6,83 207,5
10 4 -40,6 0,0871
12,5 5 -35,1 0,309
15 6 -37,5 0,1778
17,5 7 -54 0,003981

Dựa vào bảng trên, khi đo sóng hài ở tần số 2,5GHz và công suất đầu ra 3,6 Vpp, THD sẽ là:

đồ ăn

Tham khảo định nghĩa về độ méo sóng hài tổng, cách đo THD và các ví dụ thực tế trên sẽ giúp bạn biết cách đánh giá hiện trạng sóng hài trên hệ thống và có giải pháp khắc phục sóng hài phù hợp. Tham khảo thêm các tư vấn khác về hòa âm trên website Điện BTB.

Nội dung được phát triển bởi đội ngũ truonglehongphong.edu.vn với mục đích chia sẻ và tăng trải nghiệm khách hàng. Mọi ý kiến đóng góp xin vui lòng liên hệ tổng đài chăm sóc: 1900 0000 hoặc email: hotro@truonglehongphong.edu.vn

Để lại một bình luận

Email của bạn sẽ không được hiển thị công khai. Các trường bắt buộc được đánh dấu *