Từ trường là gì? Các khái niệm và bài tập liên quan

Khi tìm hiểu, nghiên cứu về nam châm, thật thiếu sót nếu chúng ta bỏ qua khái niệm từ trường là gì? Từ trường sẽ gây ra lực tác động lên các vật có tính từ đặt trong đó. Vậy để giúp bạn có cái nhìn dễ hiểu nhất về từ trường, các tính chất cơ bản của từ trường lớp 7, hãy theo dõi bài viết bên dưới nhé.

1. Khái niệm từ trường là gì?

Từ trường là một dạng vật chất tồn tại trong không gian mà biểu hiện cụ thể là sự xuất hiện của lực từ tác dụng lên một dòng điện hay một nam châm đặt trong đó (Trích Sgk Vật lý 11)

1-khai-niem-tu-truong

Hình 1: Khái niệm từ trường

2. Biểu hiện của từ trường là gì?

Người ta thường sử dụng kim nam châm để có thể phát hiện và xác định sự tồn tại của từ trường. Ở trạng thái cân bằng, nam châm sẽ luôn chỉ theo hướng Nam – Bắc. Nam châm thử là loại kim nam châm nhỏ có tác dụng phát hiện từ trường.

3. Công thức tính từ trường

Công thức tính từ trường của dòng điện chạy trong dây dẫn thẳng dài là:

B =  2.10- mũ 7 I/r

Trong đó: 

  • B: Cảm ứng từ (tesla (T) là đơn vị)
  • I: Cường độ dòng điện (Ampe (A) là đơn vị)
  • r: Khoảng cách từ dòng điện đến vị trí xét (đơn vị mét (m)

Công thức tính từ trường của dòng điện chạy trong dây dẫn uốn hình vòng tròn

B = 2p.10- mũ 7 N I/R

Trong đó:

  • B: Cảm ứng từ (tesla (T) là đơn vị)
  • I: Cường độ dòng điện (Ampe (A) là đơn vị)
  • R: Bán kính vòng dây chứa dòng điện (đơn vị mét (m)
  • N: Số vòng dây

4. Một số khái niệm khác có liên quan đến từ trường

4.1. Điện từ trường là gì?

Điện từ trường hay điện trường là một dạng vật chất (môi trường) bao quanh điện tích và gắn liền với điện tích. Điện trường tác dụng lực điện lên các điện tích khác đặt bên trong nó.

2-cong-thuc-tinh-tu-truong

Hình 2: Điện từ trường

4.2. Cường độ từ trường là gì

Cường độ từ trường là cách thức mà từ trường biểu thị ra bên ngoài. Mức độ bộ xuất hiện của từ trường lớn và mật độ xuất hiện các đường sức từ dày hoặc ngược lại sẽ được biểu thị qua cường độ từ trường lớn. Hiện nay, Ampe là đơn vị đo cường độ từ trường phổ biến hiện nay trên một không gian (A/m)

4.3. Sóng từ trường là gì

Quá trình truyền đi của một điện từ trường biến thiên tuần hoàn theo thời gian nhất định trong một không gian được gọi là sóng điện từ trường.

4.4. Đường sức từ trường là gì

Đường sức từ là những đường vẽ ở trong không gian có từ trường sao cho tiếp tuyến tại mỗi điểm có phương trùng với phương của từ trường tại điểm đó. Chiều của đường sức từ tại một điểm là chiều của từ trường tại chính điểm đó

Đường sức từ có các tính chất đặc trưng sau:

  • Qua mỗi một điểm trong không gian thì chỉ vẽ được một đường sức từ
  • Các đường sức từ là đường cong khép kín hoặc vô hạn ở 2 đầu
  • Chiều của các đường sức từ sẽ tuân theo một quy tắc xác định (quy tắc vào Nam ra Bắc hay quy tắc nắm bàn tay phải)

4.5. Bom từ trường là gì

Đây là một loại bom khi có điều kiện tác động vật lý sẽ nổ chậm. Khi có mục tiêu được cấu tạo bằng kim loại nhiễm từ VD như tàu thuyền, xe vận tải,…. đến trong vùng từ trường của bom sẽ làm bom phát nổ.

Xem thêm  Phân loại quần áo chống hóa chất như thế nào?

4.6. Từ trường trái đất là gì?

Từ thời xa xưa, con người đã biết sử dụng la bàn để xác định phương hướng. Bộ phận chính của la bàn gồm 1 kim nam châm có thể tự xoay xung quanh một trục cố định đi qua trọng tâm của nó. Tuy nhiên, khi đặt la bàn tại một vị trí nằm xa các nam châm và dòng điện khác thì kim nam châm của la bàn luôn nằm theo một hướng không đổi, hướng này gần trùng với hướng Nam – Bắc. Khi xê dịch la bàn sang vị trí khác thì kim nam châm vẫn không đổi. Có hiện tượng này là do kim nam châm luôn chịu một tác dụng của từ trường Trái Đất hay còn gọi là địa từ trường

5358138-cover-1

Hình 3: Từ trường Trái Đất

5. Nước từ trường là gì? Công dụng của nước từ trường

5.1. Khái niệm

Nước từ trường là loại nước mà người ta kích hoạt ion hóa các phân tử nước bằng cách đưa qua cụm nam châm vĩnh cửu được thiết kế đặc biệt và chuyển hóa cấu trúc nước thành hình lục giác từ hình bông tuyết giúp lưu thông và hấp thụ nước dễ dàng hơn.

5.2. Công dụng

Chúng ta không cần phải bàn cãi về những tác dụng của nước từ trường là gì. Khoa học đã có các dữ liệu chứng minh về sự kết hợp giữa nước từ trường với các vật chất như chất dinh dưỡng, thuốc và phát huy công dụng hiệu quả. Tuy nhiên, chúng ta tránh việc hiểu lầm nước từ trường có tác dụng chữa được bách bệnh như một số thông tin đồn thổi sai sự thật. Nước từ trường không phải loại nước thần thánh mà trong thời gian qua giới bán hàng đã thổi phồng.

Tại sao chúng ta lại gọi nước từ trường là nước kỳ diệu. Vì kết quả của việc kết hợp nước từ trường rất tốt, tận dụng được những gì mà vật chất đang có một cách tối đa.

6. Ứng dụng của từ trường

6.1. Ứng dụng trong máy chụp hình cắt lớp (MRI)

Trong lĩnh vực y học, MRI là một phương pháp hình ảnh không xâm lấn được sử dụng rộng rãi để xem bên trong cơ thể người mà không cần sử dụng tia X. Máy MRI tạo ra một từ trường mạnh, thường từ nam châm siêu dẫn, để làm thay đổi trạng thái từ của proton trong các nguyên tử trong cơ thể. Khi proton quay lại trạng thái ban đầu, năng lượng phát ra được sử dụng để tạo ra hình ảnh chất lượng cao của cơ thể.

may-chup-mri-1-5-tesla

Hình 4: Máy MRI

6.2. Loa điện từ

Loa điện từ là một loại loa âm thanh sử dụng từ trường để chuyển đổi tín hiệu điện thành sóng âm. Khi dòng điện chạy qua dây dẫn có đặc tính từ trường, nó tạo ra một lực đẩy và kéo giữa từ trường và dây dẫn, tạo ra âm thanh.

6.3. Tách các khoảng cách giữa hai vật (Maglev)

Các hệ thống Maglev sử dụng từ trường để nâng cao và duy trì vận tốc của các phương tiện không chạm mặt đất. Trong đường sắt Maglev, xe không có bánh xe mà chạy trên một đường ray và được nâng lên bằng từ trường để giữ cho nó không tiếp xúc với bề mặt đường ray. Điều này giảm ma sát và tăng hiệu suất vận chuyển.

6.4. Sử dụng thẻ thông minh

Thẻ thông minh, như thẻ tín dụng hoặc thẻ quẹt, thường sử dụng từ trường để truyền thông tin. Khi thẻ được di chuyển qua đầu đọc, dữ liệu được truyền qua một cảm biến từ trường để xác nhận thông tin thẻ.

0fezmcc1nzm1671433222767

Hình 5: Ứng dụng trong quẹt thẻ thông minh

6.5. Bảo vệ điện tử (EMI shielding)

Trong thiết kế điện tử, từ trường được sử dụng để bảo vệ các linh kiện khỏi nhiễu từ. Vỏ bảo vệ từ có thể được thiết kế để hoạt động như một lưới chống nhiễu từ, giữ cho tín hiệu điện tử bên trong không bị ảnh hưởng bởi từ trường từ các nguồn bên ngoài.

7. Bài tập liên quan đến từ trường

Câu 1: Cảm ứng từ của một dòng điện chạy trong dây dẫn thẳng dài tại một điểm M có độ lớn tăng lên khi

A. M dịch chuyển theo hướng vuông góc với dây và ra xa dây.

B. M dịch chuyển theo hướng vuông góc với dây là lại gần dây.

C. M dịch chuyển theo đường thẳng song song với dây.

D. M dịch chuyển theo một đường sức từ.

Lời giải:

Xem thêm  Cồn kế là gì? Mua ở đâu giá ưu đãi tốt nhất?

Đáp án B

Cảm ứng từ của dòng điện trong dây dẫn thẳng dài là  Từ trường (Lý thuyết + 20 bài tập có lời giải) (ảnh 17) ⇒ B tăng khi r giảm.

⇒ M dịch chuyển theo hướng vuông góc với dây là lại gần dây.

Câu 2: Một dây dẫn có dòng điện chạy qua uốn thành vòng tròn. Tại tâm vòng tròn, cảm ứng từ sẽ giảm khi

A. cường độ dòng điện tăng lên.

B. cường độ dòng điện giảm đi.

C. số vòng dây cuốn sít nhau, đồng tâm tăng lên.

D. đường kính vòng dây giảm đi.

Lời giải:

Đáp án B

Cảm ứng từ tại tâm vòng tròn là Vật Lí lớp 11 | Chuyên đề: Lý thuyết - Bài tập Vật Lý 11 có đáp án ⇒ B giảm khi I giảm.

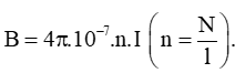
Câu 3: Cảm ứng từ bên trong một ống dây điện hình trụ, có độ lớn tăng lên khi

A. chiều dài hình trụ tăng lên.

B. đường kính hình trụ giảm đi.

C. số vòng dây quấn trên một đơn vị chiều dài tăng lên.

D. cường độ dòng điện giảm đi.

Lời giải:

Đáp án C

Cảm ứng từ bên trong ống dây hình trụ là B = 4π.10-7 μ.n.I ⇒ B tăng khi n tăng.

Câu 4: Hai dòng điện cường độ I1 = 6 A, I2 = 9 A chạy trong hai dây dẫn thẳng song song dài vô hạn có chiều ngược nhau, được đặt trong chân khồng cách nhau một khoảng a = 10 cm. Qũy tích những điểm mà tại đó véc -tơ cảm ứng từ bằng 0 là

A. đường thẳng song song với hai dòng điện, cách I1 20 cm, cách I2 30 cm.

B. đường thẳng vuông góc với hai dòng điện, cách I1 20 cm, cách I2 30 cm.

C. đường thẳng song song với hai dòng điện, cách I1 30 cm, cách I2 20 cm.

D. đường thẳng vuông góc với hai dòng điện, cách I1 30 cm, cách I2 30 cm.

Lời giải:

Đáp án A

Vật Lí lớp 11 | Chuyên đề: Lý thuyết - Bài tập Vật Lý 11 có đáp án

2 dòng điện có chiều ngược nhau nên điểm mà có véc-tơ cảm ứng từ bằng không phải nằm trên đường thẳng nối hai dòng điện và nằm ngoài đoạn I1I2.

Do I2 lớn hơn I1 nên điểm cần tìm nằm về phía I1

Ta có: Vật Lí lớp 11 | Chuyên đề: Lý thuyết - Bài tập Vật Lý 11 có đáp án và r2 – r1 = 10

Giải hệ trên ta được: r1 = 20 cm, r2 = 30 cm.

Trong mặt phẳng vuông góc hai dòng điện, điểm P với PO1 = 20 cm, PO1 = 30 cm là điểm tại đó véc tơ cảm ứng tại đó bằng không.

Trong không gian, quỹ tích của P là đường thẳng song song với hai dòng điện, cách I1 20 cm, cách I2 30 cm.

Câu 5: Khi đặt đoạn dây dẫn có dòng điện vào trong từ trường có vectơ cảm ứng từ, lực từ tác dụng lên dây dẫn sẽ

A. nằm dọc theo trục của dây dẫn.

B. vuông góc với dây dẫn.

C. vừa vuông góc với dây dẫn, vừa vuông góc với vectơ cảm ứng từ.

D. vuông góc với vectơ cảm ứng từ.

Lời giải:

Đáp án C

Lực từ tác dụng lên dây dẫn vuông góc với dây dẫn và vec tơ cảm ứng từ (F,B,I tạo thành tam diện thuận).

Câu 6: Trong các hình vẽ sau, hình vẽ nào biểu diễn đúng hướng của đường cảm ứng từ của dòng điện trong dây dẫn thẳng dài vô hạn vuông góc với mặt phẳng hình vẽ.

A. Vật Lí lớp 11 | Chuyên đề: Lý thuyết - Bài tập Vật Lý 11 có đáp án         B.  Từ trường (Lý thuyết + 20 bài tập có lời giải) (ảnh 21)         C.  Từ trường (Lý thuyết + 20 bài tập có lời giải) (ảnh 22)         D. B và C.

Lời giải:

Đáp án A

Áp dụng quy tắc đinh ốc (hoặc nắm bàn tay phải) ⇒ chỉ có hình A đúng.

Câu 7: Hai điểm M và N gần dòng điện thẳng dài, cảm ứng từ tại M lớn hơn cảm ứng từ tại N 4 lần. Kết luận nào sau đây đúng?

A. rM = 4rN        

B. rM = rN/4        

C. rM = 2rN        

D. rM = rN/2

Lời giải:

Đáp án B

Cảm ứng từ xung quanh dây dẫn thẳng dài  Từ trường (Lý thuyết + 20 bài tập có lời giải) (ảnh 23)

Để BM = 4BN ⇒ Vật Lí lớp 11 | Chuyên đề: Lý thuyết - Bài tập Vật Lý 11 có đáp án

Câu 8: Một dây dẫn mang dòng điện có chiều từ trái sang phải nằm trong một từ trường có chiều từ dưới lên thì lực từ có chiều

A. từ trái sang phải.        

B. từ trong ra ngoài.        

C. từ trên xuống dưới.        

D. từ ngoài vào trong.

Lời giải:

Đáp án B

Áp dụng quy tắc bàn tay trái ⇒ lực từ hướng từ trong ra ngoài.

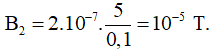
Câu 9: Hai dây dẫn thẳng song song dài vô hạn, cách nhau a = 10 cm trong không khí, trong đó lần lượt có hai dòng điện I1 = I2 = 5 A chạy ngược chiều nhau. Cảm ứng từ tại điểm M cách đều hai dây dẫn một đoạn bằng a = 10 cm là

A. 10-4 T.        

B. 10-5 T.        

C. 2.10-5 T.        

D. 2.10-4 T.

Lời giải:

Đáp án B

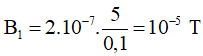
Cảm ứng từ do I1 gây ra tại M là  Từ trường (Lý thuyết + 20 bài tập có lời giải) (ảnh 24)

Cảm ứng từ do I2 gây ra tại M là  Từ trường (Lý thuyết + 20 bài tập có lời giải) (ảnh 25)

Do I1, I2 và M lập thành tam giác đều nên ∠I1MI2 bằng 60°, suy ra góc giữa ∠B1 và ∠B2 bằng 120°

Ta có: B2 = B12 + B22 + 2.B1.B2.cos 120° = 10-5 T

Câu 10: Hai dòng điện cường độ I1 = 6 A, I2 = 9 A chạy trong hai dây dẫn thẳng song song dài vô hạn có chiều ngược nhau, được đặt trong chân không cách nhau một khoảng a = 10 cm. Cảm ứng từ tại điểm M cách I1 6 cm và cách I2 4 cm có độ lớn bằng

Xem thêm  Đơn vị đo áp suất là gì? Tìm hiểu Pa, Kpa, Mpa, Bar, Psi, Atm

A. 5.10-5 T.        

B. 6.10-5 T.        

C. 6,5.10-5 T.        

D. 8.10-5 T.

Lời giải:

Đáp án C

 Từ trường (Lý thuyết + 20 bài tập có lời giải) (ảnh 26)

Giả sử dòng điện I1, I2 có chiều như hình vẽ. Áp dụng quy tắc nắm bàn tay phải xác định được chiều véc tơ cảm ứng từ do I1, I2 gây ra tại M như bên.

Ta có:

 Từ trường (Lý thuyết + 20 bài tập có lời giải) (ảnh 27)

Cảm ứng từ tổng hợp tại M là

B = B1 + B2 = 2.10-5 + 4,5.10-5 = 6,5.10-5

Câu 12: Một dây dẫn rất dài căng thẳng, ở giữa dây được uốn thành vòng tròn bán kính R = 1,5 cm, tại chỗ chéo nhau dây dẫn được cách điện. Dòng điện chạy trên dây có cường độ 3 A. Cảm ứng từ tại tâm O của vòng tròn là

 Từ trường (Lý thuyết + 20 bài tập có lời giải) (ảnh 28)

A. 16,6.10-5 T.        

B. 6,5.10-5 T.        

C. 7.10-5 T        

D. 18.10-5 T.

Lời giải:

Đáp án A

Gọi cảm ứng từ của dòng điện thẳng là B1→, của dòng điện tròn là B2→ có B→ = B1→ + B2→, trong đó cả B1→ và B2→ đều hướng ra phía trước mặt phẳng hình vẽ. Vì vậy, vuông góc với mặt phẳng hình vẽ và hướng ra phía trước.

Ta có: B = B1 + B2 = 2.10-7.(I/B).(π + 1) = 16,6.10-5 T

Câu 13: Một khung dây tròn bán kính R = 4 cm gồm 10 vòng dây. Dòng điện chạy trong mỗi vòng dây có cường độ I = 0,3 A. Cảm ứng từ tại tâm của khung là

A. 3,34.10-5 T.        
B. 4,7.10-5 T.        
C. 6,5.10-5 T.        
D. 3,5.10-5 T.

Lời giải:

Đáp án B

Cảm ứng từ tại tâm của khung dây là

 Từ trường (Lý thuyết + 20 bài tập có lời giải) (ảnh 29)

Câu 14: Từ cảm B của dòng điện thẳng tại điểm M cách dòng điện 3 cm bằng 2,4.10-5 (T). Tính cường độ dòng điện của dây dẫn.

A. 0,36        

B. 0,72        

C. 3,6        

D. 7,2

Lời giải:

Đáp án C

Dòng điện thẳng: Vật Lí lớp 11 | Chuyên đề: Lý thuyết - Bài tập Vật Lý 11 có đáp án

Câu 15: Độ lớn cảm ứng từ tại một điểm bên trong lòng ống dây có dòng điện đi qua sẽ tăng hay giảm bao nhiêu lần nếu số vòng dây và chiều dài ống dây đều tăng lên hai lần và cường độ dòng điện qua ống dây giảm bốn lần

A. không đổi        

B. giảm 2 lần        

C. giảm 4 lần        

D. tăng 2 lần

Lời giải:

Đáp án C

Cảm ứng từ trong lòng ống dây  Từ trường (Lý thuyết + 20 bài tập có lời giải) (ảnh 31)

Khi N’ = 2N; l’ = 2l Từ trường (Lý thuyết + 20 bài tập có lời giải) (ảnh 32) ⇒ B giảm 4 lần

Câu 16: Người ta muốn tạo ra từ trường có cảm ứng từ B = 250.10-5T bên trong một ống dây, mà dòng điện chạy trong mỗi vòng của ống dây chỉ là 2A thì số vòng quấn trên ống phải là bao nhiêu, biết ống dây dài 50cm.

A. 7490 vòng        

B. 4790 vòng        

C. 479 vòng        

D. 497 vòng

Lời giải:

Đáp án D

Cảm ứng từ trong lòng ống dây

 Từ trường (Lý thuyết + 20 bài tập có lời giải) (ảnh 33)

Câu 17: Ba dòng điện thẳng song song vuông góc với mặt phẳng hình vẽ. Khoảng cách từ điểm M đến ba dòng điện trên mô tả như hình vẽ. Xác định véc tơ cảm ứng từ tại M trong trường hợp ba dòng điện hướng như trên hình vẽ. Biết I1 = I2 = I3 = 10A.

 Từ trường (Lý thuyết + 20 bài tập có lời giải) (ảnh 34)

A. √2.10-4 T.

B. √3.10-4 T.

C. √5.10-4 T.

D. √6.10-4 T.

Lời giải:

Đáp án C

Áp dụng quy tắc nắm bàn tay phải xác định được chiều cảm ứng từ do 3 dòng điện gây nên:

B1→ ↑↑ B2→B1→ ⊥ B3→.

Cảm ứng từ do dòng điện thẳng dài gây ra B = 2.10-7.(I/r)

⇒ B1 = B2 = B3 = 10-4 T

 Từ trường (Lý thuyết + 20 bài tập có lời giải) (ảnh 35)

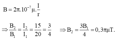
Câu 18: Một dây dẫn tròn mang dòng điện 20A, tâm vòng dây có cảm ứng từ 0,4πμT. Nếu dòng điện qua vòng dây giảm 5A so với ban đầu thì cảm ứng từ tại tâm vòng dây là

A. 0,3πμT.        

B. 0,5πμT.        

C. 0,2πμT.        

D. 0,6πμT.

Lời giải:

Đáp án A

Cảm ứng từ tại tâm vòng dây là

 Từ trường (Lý thuyết + 20 bài tập có lời giải) (ảnh 36)

Câu 19: Một dòng điện cường độ 5A chạy trong một dây dẫn thẳng dài chiều như hình vẽ. Cảm ứng từ tại hai điểm M và N quan hệ với nhau như thế nào, biết M và N đều cách dòng điện 4cm, đều nằm trên mặt phẳng hình vẽ đối xứng nhau qua dây dẫn.

Vật Lí lớp 11 | Chuyên đề: Lý thuyết - Bài tập Vật Lý 11 có đáp án

A. BM = BN; hai véc tơ BM và BN song song cùng chiều.

B. BM = BN; hai véc tơ BM và BN song song ngược chiều.

C. BM > BN; hai véc tơ BM và BN song song cùng chiều.

D. BM = BN; hai véc tơ BM và BN vuông góc với nhau.

Lời giải:

Đáp án B

Ta có: B = 2.10-7.(I/r) ⇒ rM = rN ⇒ BM = BN

Áp dụng quy tắc nắm bàn tay phải (vặn đinh ốc) ⇒ BM→BN→ song song ngược chiều.

Câu 20: Ba dòng điện thẳng song song vuông góc với mặt phẳng hình vẽ, có chiều như hình vẽ. ABCD là hình vuông cạnh 10cm, I1 = I2 = I3 = 5A, xác định véc tơ cảm ứng từ tại đỉnh thứ tư D của hình vuông.

Vật Lí lớp 11 | Chuyên đề: Lý thuyết - Bài tập Vật Lý 11 có đáp án

A. 1,2.√3.10-5 T.

B. 2.√3.10-5 T.

C. 1,5.√2.10-5 T.

D. 2,4.√2.10-5 T.

Lời giải:

Đáp án C

Áp dụng quy tắc nắm bàn tau phải xác định được chiều cảm ứng từ do 3 dòng điện gây nên được: (B1→B3→) = 90°; (B2→B1→) = 45°;

Vật Lí lớp 11 | Chuyên đề: Lý thuyết - Bài tập Vật Lý 11 có đáp án

Kết luận

Qua bài viết này, hẳn bạn đã có khái niệm rõ nhất về từ trường là gì cũng như các định nghĩa liên quan. Hy vọng rằng, bạn sẽ có thêm nhiều kiến thức vật lý hay và có thể áp dụng trong đời sống hoặc công việc.

Nội dung được phát triển bởi đội ngũ truongchuvananhue.edu.vn với mục đích chia sẻ và tăng trải nghiệm khách hàng. Mọi ý kiến đóng góp xin vui lòng liên hệ tổng đài chăm sóc: 1900 0000 hoặc email: hotro@truongchuvananhue.edu.vn

Để lại một bình luận

Email của bạn sẽ không được hiển thị công khai. Các trường bắt buộc được đánh dấu *