Tụ điện là gì ? Ứng dụng của tụ điện trong thực tiễn

Có khá nhiều người đặt ra câu hỏi tụ điện là gì và nguyên lý hoạt động ra sao, bởi trong gia đình hầu hết các thiết bị đều có. Chính vì vậy, trong bài viết hôm nay, hãy cùng tìm hiểu về loại linh kiện này cũng như cấu tạo, công dụng và ứng dụng để hiểu rõ hơn nhé.

Thumnail tụ điện

Tụ điện là gì?

Tụ điện được biết đến là một loại linh kiện điện tử thị động. Đây là một hệ hai vật dẫn được ngăn cách nhau bởi lớp cách điện. Khi có sự chênh lệch về điện thế thì các mặt sẽ xuất hiện điện tích. Cùng với đó là điện lượng nhưng trái dấu tại hai bề mặt.

Tụ điện là gì

Tụ điện là một thiết bị điện tử thụ động

Sự tích tụ của điện tích có khả năng tích trữ năng lượng điện trường ở hai bề mặt của tụ điện. Khi chênh lệch điện thế xoay chiều sự tích lũy điện tích bị chậm pha so với điện áp. Từ đó tạo nên trở kháng của tụ điện trong mạch điện xoay chiều.

Về mặt lưu trữ năng lượng, tụ điện có phần giống với ắc quy nhưng cách hoạt động hoàn toàn khác nhau. Cụ thể, nếu ắc quy có 2 cực bên trong xảy ra phản ứng hóa học giúp tạo electron ở cực này và chuyển sang cực còn lại thì linh kiện này đơn giản hơn.

Trong khi đó, tụ điện lại đơn giản hơn bởi linh kiện điện tử này không thể tạo ra electron mà chỉ có thể lưu trữ. Bên cạnh đó việc nạp và xả nhanh chính là ưu thế vượt trội so với ắc quy.

Nguyên lý hoạt động

Nguyên lý hoạt động của tụ điện đó là khả năng tích trữ điện năng như một ắc quy nhỏ dưới dạng năng lượng điện trường. Nghĩa là linh kiện điện tử này lưu giữ hiệu quả Electron và phóng ra các điện tích giúp tạo ra dòng điện.

Tuy nhiên điểm khác biệt giữa tụ điện và ắc quy đó là khả năng sản sinh ra điện tích electron. Nguyên lý xả nạp của linh kiện điện tử này là tính chất đặc trưng với khả năng dẫn điện xoay chiều.

Nếu điện áp của 2 bản mạch vẫn giữ nguyên không đột ngột biến thiên theo thời gian rất dễ gây ra hiện tượng nổ có tia lửa điện. Nguyên nhân là do dòng điện tăng vọt và cũng là nguyên lý xả nạp khá phổ biến của tụ điện.

Cấu tạo của tụ điện

Cấu tạo của tụ điện gồm ở giữa có một lớp cách điện gọi là điện môi và hai bản cực đặt song song. Điện môi được sử dụng cho linh kiện điện tử này là các chất không dẫn điện như thủy tinh, giấy, gốm, mica,….Cùng với đó là không có tính dẫn điện giúp tăng khả năng tích trữ năng lượng điện.

Tùy vào từng chất liệu cách điện ở giữa bản cực mà sẽ có tên gọi tương ứng cho tụ điện. Ví dụ như nếu sử dụng lớp không khí sẽ gọi là tụ không khí hay giấy gọi là tụ giấy. Tương tự như vậy, gốm gọi là tụ gốm và nếu là lớp hóa chất sẽ có tên gọi là tụ hóa.

Xem thêm  Top 10 tủ điện âm tường tốt nhất hiện nay trong năm 2025

Các đơn vị và ký hiệu của tụ điện

Trong các mạch điện nếu để ý một chút sẽ thấy có 1 linh kiện được ký hiệu là C, đây là ký hiệu của tụ điện bắt nguồn từ chữ Capacitor. Trong hệ thống quy chuẩn đo lường quốc tế, đơn vị đo của loại linh kiện này là Fara.

Các loại tụ điện 1

Đơn vị và ký hiệu bên trong tụ điện

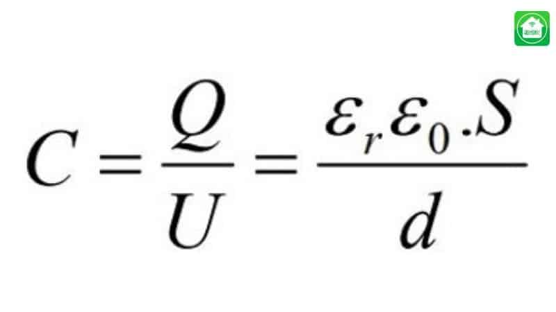
Khi nói đến tụ điện là nói đến điện tích và khả năng tích trữ điện. Do đó mà để biết được công thức tính cho linh kiện này bạn cần biết công thức tính điện tích trước là: Q=C.U.

Công thức tính điện dung của tụ điện

Điện dung là đại lượng đặc trưng cho khả năng tích điện trên hai bản cực của tụ điện và phụ thuộc vào diện tích bản cực, vật liệu điện môi và khoảng cách giữa hai bản cực. Từ đó suy ra công thức tính cho điện dung là:

Ký hiệu tụ điện

Trong đó:

  • εr : đây là ký hiệu biểu thị điện thẩm tương đối của lớp cách điện
  • ε0 ≈ 1÷(9*109*4*π)≈8.854187817*10-12: đây là ký hiệu biểu thị hằng số điện thẩm.
  • S: ký hiệu biểu thị diện tích của bản cực được tính bằng m2.
  • D: Ký hiệu biểu thị khoảng cách giữa 2 bản cực và độ dày của lớp cách điện được tính bằng [m].

Ứng dụng của tụ điện trong thực tiễn

Trong thực tiễn, tụ điện thường được ứng dụng nhiều vào việc cung cấp nguồn năng lượng hay tích trữ năng lượng, xử lý tín hiệu, mạch điều chỉnh, khởi động động cơ,…Hiện nay, các linh kiện này gần như không thể thiếu trong những sản phẩm bếp từ và một số lĩnh vực khác, điển hình như:

Ứng dụng của tụ điện

Ứng dụng của tụ điện trong đời sống thực tiễn

  • Thường được ứng dụng phổ biến và rộng rãi trong kỹ thuật điện và điện tử.
  • Ứng dụng trong hệ thống âm thanh xe hơi nhờ khả năng lưu trữ năng lượng cho bộ khuếch tán.
  • Dùng trong xây dựng các bộ phận kỹ thuật số cho máy tính nhị phân sử dụng các ống điện tử.
  • Trong những lĩnh vực vực chế tạo đặc biệt về quân sự hoặc máy phát điện, thí nghiệm vật lý, vũ khí hạt nhân,…
  • Sử dụng trong việc áp dụng thành công nguồn cung cấp năng lượng, tích trữ năng lượng.
  • Sử dụng trong vấn đề xử lý tín hiệu, khởi động động cơ, mạch điều chỉnh,…

Cách đo và kiểm tra tụ điện bằng đồng hồ

Cách đo tụ điện và kiểm tra tụ điện bằng đồng hồ cũng có bước thực hiện như đo đồng hồ điện tử hay bằng vom,…Tuy nhiên chỉ khác nhau ở chỗ điều chỉnh thang đo, thông qua các bước như sau:

Cách đo tụ điện

Hướng dẫn trong cách đo tụ điện

Đối với tụ hóa

Đối với tụ hóa, để kiểm tra thường sẽ so sánh độ phóng nạp của tụ đối với một tụ khác tương đương còn tốt. Theo đó, bạn chỉnh thang đo đồng hồ ở thang x1Ω – x100Ω, sau đó đặt 2 que đo vào lần lượt 2 chân của tụ nhằm so sánh độ phóng nạp. Đo nhiều lần và đảo chiều que đo để có kết quả khác quan nhất.

Nếu hai tụ phóng nạp như nhau nghĩa là tụ cần kiểm tra đang hoạt động tốt và ngược lại nếu tụ phóng nạp kém có nghĩa đã bị khô. Trong trường hợp kim lên nhưng không trở về vị trí cũ là tụ đã bị rò.

Đối với tụ giấy

Để kiểm tra đối với tụ giấy bạn sẽ tiến hành chỉnh đồng hồ vạn năng ở thang đo là  x1KΩ hoặc x10KΩ. Sau đó đặt 2 que dò vào 2 chân tụ cần kiểm tra, nếu thấy kim phóng lên 1 chút rồi trở về vị trí cũ nghĩa là tụ còn tốt.

Trong trường hợp kim di chuyển về vị trí lưng chừng thang đo rồi dừng lại không về vị trí bán đầu nghĩa là tụ bị dò. Ngược lại tụ sẽ rơi vào tình trạng chập, đánh thủng là khi kim di chuyển đến 0Ω nhưng không trở lại vị trí ban đầu.

Xem thêm  Bỏ túi cách sửa aptomat khi có sự cố phát sinh

Các loại tụ điện thông dụng

Hiện nay, có rất nhiều loại tụ điện thông dụng xuất hiện trên thị trường. Nhằm giúp bạn hiểu và dễ dàng củng cố kiến thức loại linh kiện thụ động này hãy cùng điểm qua một vào dòng mà Trường THPT Chuyên Lê Hồng Phong chia sẻ sau đây.

Các loại tụ điện2

Các loại tụ điện phổ biến và thông dụng

Tụ nhôm

Đây là loại tụ cực kỳ phổ biến được thiết kế với 2 dải nhôm cuộn lại cùng một dải giấy thấm ở giữa. Dải này được ngâm trong dung dịch điện phân và sau đó đóng khuôn để tạo thành hình dạng như một khối hình trụ.

Từ 0,1µF đến 500.000µF sẽ là giá trị điện rung của tụ nhôm, do đó mà đây là loại tụ điện lưu trữ sở hữu điện dung lớn nhất. Đồng thời linh kiện này hoạt động trong khoảng điện áp 10 – 100V.

Mặc dù vậy với tốc độ rò rỉ cao nên tụ nhôm không được sử dụng cho các ứng dụng ghép với tần số AC cao. Không chỉ vậy, với phạm vi dung sai khá rộng khoảng trên dưới 20%. Do đó mà các mạch như mạch thời gian hay mạch lọc thường không đưa vào lắp đặt vì linh kiện này là những mạch cần có giá trị chính xác.

Tụ điện Tantalum

Đây là loại tụ được làm từ Tantalum Pentoxide với ưu điểm là kích thước nhỏ, nhẹ và hoạt động ổn định hơn so với tụ nhôm. Bên cạnh đó, tốc độ rò rỉ của loại tụ này thấp, giữa 2 chân có độ tự cảm thấp.

Mặc dù vậy thì tụ Tantalum cũng có nhược điểm đó là điện dung lưu trữ và điện áp làm việc tối đa thấp. Do đó khi gặp các dòng điện cao rất dễ bị hư nên thường được ứng dụng với các hệ thống tin hiệu không có nhiều dòng cao.

Tụ điện gốm

Tụ điện gốm có chất điện môi được làm từ chất liệu titanium acid barium, có giá trị điện dung của nó cao từ 1pF đến vài microfarad. Tuy nhiên lại không có giá trị điện dung cao như Tantalum. Hiện nay loại tụ này được chế tạo và sản xuất có một khoảng khá rộng đối với dung sai cũng như giá trị điện áp hoạt động.

Ưu điểm của loại tụ điện này là bên trong không chế tạo thành cuộn khiến độ tự cảm thấp. Chính vì vậy mà thích hợp dùng cho các ứng dụng có tần số cao và đưa vào dùng rộng rãi với nhiều mục đích cũng như ghép thử cùng dùng loại tụ gốm.

Tụ điện Polyester

Đây là loại tụ được tạo nên từ các tấm kim loại có màng Polyester giữa chính hoặc trên chất cách điện đặt trên một màng kim loại. Giá trị của tụ Polyester trong khoảng từ 1-15µF và sử dụng điện áp hoạt động trong khoảng từ 50 – 1500V.

Tụ polyester

Tụ Polyester được làm từ màng Polyester

Tụ điện Polyester có các loại dung sai trong phạm vi 5, 10, 20% với hệ số nhiệt độ cao, do đó thường được lựa chọn cho các ứng dụng ghép hoặc lưu trữ. Lý do là bởi có điện trở cách ly cao.

Trên mỗi đơn vị thể tích của tụ điện Polyester điện dung cao hơn so với các loại tụ khác. Điều này khiến khi có cùng kích thước các tụ khác thì sẽ tích trữ cao hơn. Hơn thế, trên thị trường tụ này có giá thành khá rẻ nên được rất nhiều người lựa chọn dùng trong hệ thống điện nhà mình.

Tụ điện Polypropylene

Đây là loại tụ được làm từ chất điện môi làm từ màng Polypropylene với giá trị điện dung phạm vi trong khoảng từ 100pf đến 10µF. Loại tụ này có điện áp hoạt động cao lên đến 3000V, do đó thường đưa vào sử dụng cho mạch cấp nguồn, bộ khuếch đại van và bộ khuếch đại công suất.

Tụ Polypropylene có giá trị dung sai cực nhỏ chỉ khoảng 1% nên có độ chính xác cao khi sử dụng. Đồng thời điện trở cách ly cao nên cực kỳ phù hợp để lưu trữ hoặc ghép và với tần số dưới 100kHz giúp tụ này hoạt động vô cùng ổn định. Vậy nên thường ứng dụng trong chặn, khử nhiễu, ghép, lọc, xử lý xung,…

Xem thêm  CB khối là gì? Phân biệt CB khối và CB tép

Tụ điện Polystyrene

Đây là loại tụ với chất điện môi được tạo thành từ Polystyrene có giá trị điện dung khá thấp từ 10pF đến 47nF và dung sai trong phạm vi 5-10%. Bên cạnh đó, cũng có một số tụ được chế tạo chất lượng tốt hơn với mức dung sai chỉ từ 1-2%.

Tụ này có điện áp làm việc từ 30-630V nên có lợi thế lớn khi điện trở cách ly cao nên thường được dùng trong các ứng dụng ghép hoặc lưu trữ. Trong khí đó, đối với tụ Polystyrene có dung sai 1-2% thường dùng cho các mạch điều chỉnh, mạch thời gian và mạch lọc.

Tụ Polystyrene cũng có những nhược điểm riêng, điển hình là do chỉ được cấu tạo bởi 1 cuộn dây bên trong. Do đó mà không dùng được với các trường hợp có tần số cao và giá trị điện dung cũng thay đổi vĩnh viễn khi gặp nhiệt độ cao trên 70 độ C.

Tụ điện Polycarbonate

Đây là loại tụ được chế tạo từ chất Polycarbonate có giá trị điện dung từ 100pF đến 10µF với điện áp hoạt động lên đến 400V. Điểm khiến nhiều người lựa chọn dùng tụ Polycarbonate là không có nhiều sự thay đổi khi có thay đổi nhiệt độ.

Tuy nhiên, tụ Polycarbonate cũng có nhược điểm đó là mức dung sai khá cao lên đến 5-10%. Do đó thường không phù hợp dùng trong những ứng dụng đòi hỏi cần có độ chính xác cao.

Tụ điện bạc Mica

Đây là loại tụ được tạo ra bằng cách lắng một lớp bạc mỏng lên bề mặt của vùng điện môi làm từ chất liệu Mica và dùng ổn định với thời gian. Ưu điểm lớn nhất của tụ bạc Mica chính là dung sai nhỏ chỉ dưới 1% nên độ bền cực kỳ tuyệt vời.

Tụ bạc mica

Tụ bạc Mica được tạo ra bằng cách lắng một lớp bạc mỏng lên bề mặt

Hiện nay, trên thị trường tụ điện bạc Mica có giá thành khá đặt và giá trị điện dung không cao nên ít được lựa chọn. Ứng dụng đối với loại tụ này thường dùng trong các mạch cộng hưởng, bộ lọc tần số cao nhờ tính ổn định với nhiệt độ và khả năng cách điện cực tốt.

Tụ điện giấy

Đây là loại tụ điện được làm từ các dải lá kim loại mỏng với lớp điện môi phân tích bằng giấy sáp. Giá trị điện dung của tụ từ 500pF đến 50µF với điện áp làm việc tương đối cao.

Điều này khiến loại tụ này được đưa vào dùng chủ yếu với các thiết bị có điện áp cao. Tuy nhiên, nhược điểm là tốc độ rò rỉ điện cao, dung sai 10-20% nên thường không thích hợp cho phép AC hay cho các mạch cần thời gian chính xác.

Giải đáp một số thắc mắc thường gặp về tụ điện

Dưới đây là tổng hợp những câu hỏi thường gặp về tụ điện, mời các bạn tham khảo.

Khi nào tụ điện mất khả năng tích điện?

Tụ điện sẽ mất khả năng tích điện khi điện môi bên trong bị hỏng, bị ẩm hoặc chập mạch. Ngoài ra, sau thời gian dài hoạt động, lớp cách điện xuống cấp khiến tụ rò rỉ điện tích, dẫn đến hiện tượng không còn nạp xả hiệu quả như ban đầu.

Tụ điện có bị ảnh hưởng bởi nhiệt độ hay không?

Nhiệt độ ảnh hưởng lớn đến tuổi thọ của tụ điện. Nếu hoạt động liên tục trong môi trường nhiệt cao, điện môi bên trong sẽ giãn nở hoặc khô nhanh, khiến giá trị điện dung thay đổi và tụ dễ hỏng sớm hơn nhiều so với tuổi thọ thiết kế.

Tụ điện có thể sạc bằng nguồn điện nào?

Tụ điện có thể được sạc bằng nguồn điện một chiều (DC), chẳng hạn như pin hoặc bộ nguồn DC. Khi nối với dòng điện xoay chiều, tụ sẽ liên tục nạp và xả, không giữ được điện tích cố định như khi sạc bằng nguồn DC.

Lời kết

Chính bởi những công dụng tuyệt vời này mà tụ điện vô cùng quan trọng và được đưa vào ứng dụng đa dạng. Nếu bạn muốn tìm hiểu rõ hơn hay có nhu cầu sử dụng thiết bị này đừng quên đến ngay Trường THPT Chuyên Lê Hồng Phong nhé. Bởi chúng tôi tự hào là nhà cung cấp thiết bị thông minh chất lượng, chính hãng với giá thành cạnh tranh nhất thị trường hiện nay.

Nội dung được phát triển bởi đội ngũ truonglehongphong.edu.vn với mục đích chia sẻ và tăng trải nghiệm khách hàng. Mọi ý kiến đóng góp xin vui lòng liên hệ tổng đài chăm sóc: 1900 0000 hoặc email: hotro@truonglehongphong.edu.vn

Để lại một bình luận

Email của bạn sẽ không được hiển thị công khai. Các trường bắt buộc được đánh dấu *