Trở kháng là gì? Hướng dẫn công thức tính và cách đo

Trở kháng là đại lượng tương đối quan trọng trong hoạt động của các mạch điện, đặc biệt là mạch điện xoay chiều. Hãy cùng KTH ELECTRIC tìm hiểu về trở kháng, cách nhận biết, vai trò, phương pháp đo và cách tính của nó trong bài viết sau.

Trở kháng là gì?

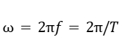
Trở kháng là một đại lượng vật lý biểu thị điện trở của dòng điện trong mạch điện khi đặt vào một điện áp. Đại lượng này được ký hiệu bằng chữ Z và đơn vị đo là Ω (ohm). Giá trị này sẽ thay đổi theo tần số hiện tại.

Khái niệm trở kháng được đề cập lần đầu tiên vào năm 1886 bởi Oliver Heaviside. Trong khoa học vật lý, trở kháng được sử dụng trong nghiên cứu dao động điều hòa và có liên quan đến tần số.

Trở kháng thường được biểu thị thông qua công thức:

thực phẩm tốt cho sức khỏe 1

Trong đó R là điện trở hoặc trở kháng thuần, X là điện kháng hoặc phần ảo của trở kháng, tùy thuộc vào tần số của điện áp và thực phẩm tốt cho sức khỏe 2

Vai trò của trở kháng trong mạch điện

Trở kháng là đại lượng xác định dòng điện và điện áp thay đổi như thế nào theo thời gian, ảnh hưởng trực tiếp đến mức tiêu thụ điện năng và hiệu suất của mạch. Vì vậy, đại lượng này đóng vai trò quan trọng trong việc thiết kế các mạch điện, đặc biệt là mạch điện xoay chiều.

Xem thêm  Bộ điều khiển tụ bù trung thế: Chức năng & nguyên lý vận hành

tro khang 1

Trong đường dây truyền tải điện, trở kháng có liên quan đến hiệu suất truyền tải và tổn thất đường dây. Sử dụng trở kháng không phù hợp có thể gây tổn thất năng lượng lớn và làm giảm hiệu suất truyền tải điện.

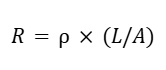
Công thức tính trở kháng dòng điện một chiều

Điện trở của dòng điện một chiều có công thức sau:

thực phẩm tốt cho sức khỏe 3

Trong đó:

  • R: Trở kháng (Ω)
  • ρ: Điện trở suất của dây dẫn (Ωm)
  • L: Chiều dài dây dẫn (m)
  • A: Diện tích mặt cắt dây dẫn (m2)

Ở trạng thái cân bằng của dòng điện một chiều:

  • Tụ điện có trở kháng thay đổi tùy theo điện trở của chất điện môi và điện cực so với hiệu điện thế giữa hai chân của tụ (lớn vô hạn) và gần như không dẫn điện.
  • Cuộn cảm có điện trở không đáng kể.
  • Điện trở có giá trị trở kháng bằng giá trị điện trở.

Công thức tính trở kháng dòng điện xoay chiều

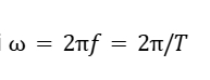
Cho điện áp là hàm dao động điều hòa theo thời gian hoặc tổng của các hàm điều hòa thì:

  • Tụ điện tạo ra dòng điện pha π/2 sớm hơn điện áp.
  • Cuộn cảm làm cho dòng điện lệch pha π/2 so với điện áp.
  • Điện trở không làm thay đổi pha của dòng điện.

Với điện trở

Điện trở sẽ chống lại dòng điện bằng một trở kháng thực phẩm tốt cho sức khỏe 4

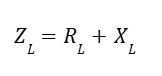
Với cuộn cảm

Trở kháng của cuộn cảm là tổng của điện trở và điện kháng của cuộn cảm:

Xem thêm  Tủ hòa đồng bộ là gì? Cấu tạo và cơ chế vận hành

thực phẩm tốt cho sức khỏe 5

Trong đó RL là điện trở cuộn dây, XL là điện kháng cuộn dây.

thực phẩm tốt cho sức khỏe 6

  • là pha của dòng điện với thực phẩm tốt cho sức khỏe 7
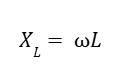
  • L là độ tự cảm của cuộn dây

Điện thế của cuộn dây bằng tổng điện thế trên điện kháng với điện thế trên điện kháng của cuộn dây:

thực phẩm tốt cho sức khỏe 8

Điện thế trên cuộn dây cùng pha một góc 90 độ so với điện thế trên điện kháng.

Cuộn dây có tần số cảm ứng, tần số bằng R/L khi điện kháng bằng điện kháng và thời gian để đạt đến tần số này là L/R.

Với tụ điện

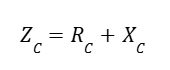
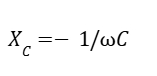
Trở kháng của tụ điện là tổng điện trở và điện kháng của tụ điện:

thực phẩm tốt cho sức khỏe 9

Trong đó RC là điện trở của tụ điện, XC là điện kháng của tụ điện.

thực phẩm tốt cho sức khỏe 10

  • là pha của dòng điện vớithực phẩm tốt cho sức khỏe 11
  • C là điện dung của tụ điện

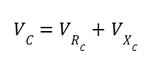
Điện thế của tụ điện bằng tổng điện thế trên điện kháng và điện thế trên điện kháng của tụ điện:

thực phẩm tốt cho sức khỏe 12

Điện áp trên tụ phản ứng với độ trễ pha là 90 độ so với điện thế trên điện kháng.

Tụ điện có tần số cảm ứng, tần số là 1/CR khi điện kháng bằng điện cảm và thời gian để đạt tới tần số này là CR.

(tham khảo từ Wikipedia)

Đọc thêm: Điện dung là gì? Công thức tính toán và ứng dụng

3 phương pháp đo trở kháng

Hiện nay có 3 phương pháp chính được sử dụng để đo trở kháng: Bridge, IV và RF IV. Cụ thể các phương pháp này như sau.

Phương pháp đo cầu

Phương pháp cầu sử dụng mạch cầu để tính toán điện trở của dòng điện. Với phương pháp này bạn cần sử dụng điện kế để cân bằng mạch cầu. Tuy khó áp dụng với tốc độ đo cao, tốc độ đo thấp nhưng phương pháp này có độ chính xác khá cao.

Xem thêm  Ngắn mạch là gì? Nguyên nhân và hướng dẫn phòng tránh

Phương pháp đo IV

Phương pháp đo IV có phương pháp và yêu cầu tương tự như phương pháp cầu – sử dụng mạch cầu để tính toán điện trở và điều chỉnh cân bằng bằng điện kế. Phương pháp này được sử dụng rộng rãi để đo trở kháng mạch đất. Tuy nhiên, khi điện trở vôn tăng lên, nó sẽ ảnh hưởng đến độ chính xác của phép đo này.

Phương pháp đo RF IV

Phương pháp đo trở kháng FR IV khá giống với phương pháp IV và được sử dụng cho các mạch có tần số cao hơn với mạch đồng trục và đầu nối phù hợp. Phương pháp này được sử dụng rộng rãi cho các mạch có băng thông rộng nhưng bị giới hạn băng thông bởi máy biến áp của đầu thử.

Đọc thêm: Điện kháng của tụ điện là gì? Công thức tính toán và ứng dụng

So sánh trở kháng và điện trở

Trong khi điện trở (R) cũng biểu thị điện trở đơn giản đối với dòng điện, thì trở kháng (Z) có thêm thông tin về độ lệch pha. Trở kháng đồng thời áp dụng cho cả dòng điện DC và AC. Trở kháng bao gồm cả điện trở và điện kháng (X).

So sánh điện và sức khỏe 1

Trở kháng giúp xác định điện áp và dòng điện thay đổi như thế nào trên mạch điện xoay chiều theo thời gian, xác định mức tiêu thụ điện năng và hiệu suất của mạch. Điện trở sẽ được sử dụng để tính toán và thiết kế các mạch điện cơ bản.

Như vậy, trở kháng tạo ra mối tương quan chặt chẽ giữa tần số, điện áp và dòng điện trong mạch. Sử dụng trở kháng phù hợp sẽ giúp mạch hạn chế tổn thất và tăng hiệu suất truyền tải điện. Bạn có thể tìm hiểu thêm về các đại lượng tương tự tại: https://btb-electric.com/vi/kien-thuc-nganh-dien/

Nội dung được phát triển bởi đội ngũ truonglehongphong.edu.vn với mục đích chia sẻ và tăng trải nghiệm khách hàng. Mọi ý kiến đóng góp xin vui lòng liên hệ tổng đài chăm sóc: 1900 0000 hoặc email: hotro@truonglehongphong.edu.vn

Để lại một bình luận

Email của bạn sẽ không được hiển thị công khai. Các trường bắt buộc được đánh dấu *