Tổng quan Ancol Isopropylic và những điều cần biết về IPA

Rượu isopropylic – IPA hay rượu isopropyl là một hợp chất hữu cơ có công thức hóa học C3H8O, tồn tại dưới dạng chất lỏng, không màu, dễ cháy. IPA được sử dụng phổ biến làm dung môi, chất tẩy rửa công nghiệp, chất sát trùng,… LabvietCHEM sẽ giới thiệu tới bạn đọc rõ hơn về loại hóa chất này qua bài viết dưới đây.

1. Tổng quan về rượu Isopropylic

1.1. Rượu Isopropylic là gì? IPA là gì?

Rượu isopropylic hay còn gọi là rượu Isopropyl có công thức hóa học là C3H8O hoặc (CH3)2CHOH.

Nó là một loại rượu không màu, có mùi đặc trưng và dễ cháy.

Rượu isopropyl được phân loại là rượu bậc hai, điều này được thể hiện qua sự liên kết giữa nhóm isopropyl và nhóm hydroxyl trong công thức cấu tạo của nó.

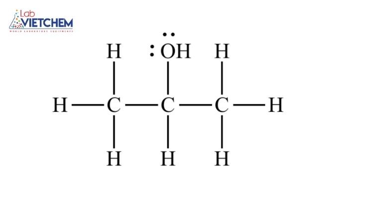
IPA là gì?

IPA là gì?

Tên khác: Rượu isopropyl, 2-Propanol, Propan-2-ol, rượu Sec-Propyl, IPA hoặc Isopropanol.

Hóa chất này được sử dụng rộng rãi trong công nghiệp như chất tẩy rửa, khử trùng, tẩy trắng,…

1.2. Phân loại rượu Isopropylic

Vì thuộc nhóm chức rượu nên Rượu Isopropylic được phân loại dựa trên cấu trúc bazơ hydrocarbon và tổng số nhóm hydroxyl trong phân tử. Cụ thể:

– Dựa vào cấu trúc bazơ hydrocarbon: Rượu isopropylic được coi là rượu bậc hai, bão hòa, có mạch hở.

– Dựa vào số nhóm OH: Rượu isopropylic là rượu đơn chức.

1.3. Kết cấu

Rượu isopropylic là rượu bậc hai, trong công thức cấu tạo có sự kết hợp giữa nhóm Isopropyl và nhóm hydroxyl. Do đó, công thức cấu tạo của rượu Isopropyl là CH3-CH(OH)-CH3.

Xem thêm  Cuvet là gì? Những điều cần lưu ý khi sử dụng cuvet trong phép đo quang phổ

Cấu trúc của rượu Isopropylic

Cấu trúc của rượu Isopropylic

2. Tính chất lý hóa của rượu Isopropylic

2.1. Tính chất vật lý

– Cảm quan: Tồn tại dưới dạng chất lỏng, không màu, mùi nồng.

– Độ hòa tan: Hòa tan hoàn toàn trong nước.

– Nhiệt độ nóng chảy: – 89 độ C.

– Nhiệt độ sôi: 82,4 độ C.

– Tỷ trọng: 0,785 g/m3.

2.2. Tính chất hóa học

Rượu isopropylic thể hiện tính chất đặc trưng của rượu. Tham gia vào nhiều phản ứng khác nhau, cụ thể:

– Phản ứng với Na: Rượu isopropyl tác dụng với kim loại kiềm Na dẫn đến tạo thành Natri Isopropylat và giải phóng khí hydro:

CH3−CH(OH)−CH3 + Na → CH3−CH(ONa)−CH3 + ½ H2

– Phản ứng với CuO: Ở điều kiện đun nóng, Rượu Isopropylic phản ứng với CuO tạo ra axeton, đồng và nước:

CH3−CH(OH)−CH3 + CuO (nhiệt độ) → CH3−CO−CH3 + Cu + H2O

– Phản ứng với CH3OH: Khi rượu Isopropylic phản ứng với CH3OH trong điều kiện có xúc tác H2SO4, nhiệt độ 140 độ C, sản phẩm thu được là 2-metoxypropan và nước:

CH3−CH(OH)−CH3 + CH3OH (nhiệt độ 140°C, H2SO4) → CH3−CH(CH3)−O−CH3 + H2O

– Phản ứng với HBr: Rượu isopropylic có thể phản ứng với dung dịch axit HBr tạo thành 2-bromopropan và nước:

CH3−CH(OH)−CH3 + HBr → CH3−CHBr−CH3 + H2O

– Phản ứng với axit axetic: Khi phản ứng với axit axetic, Rượu Isopropylic tạo thành sản phẩm isopropyl axetat và nước:

C3H7OH + CH3COOH ⇆ H3COOC3H7 + H2O

3. Phương pháp điều chế Rượu Isopropylic

Rượu isopropylic có công thức hóa học C3H8O chủ yếu được sản xuất thông qua quá trình kết hợp nước với propene trong phản ứng hydrat hóa. Tuy nhiên, một phần nhỏ được tạo ra thông qua phản ứng hydro hóa axeton. Có ba phương pháp hydro hóa phổ biến như sau:

Xem thêm  Ứng dụng của áp suất khí quyển trong đời sống

– Hydro hóa axeton: Trong phương pháp này, axeton được hydro hóa trong môi trường lỏng với chất xúc tác niken hoặc hỗn hợp xúc tác crom oxit và đồng.

CH3COCH3 + H2 ➝ CH3CH(OH)-CH3

– Hydro hóa trực tiếp: Trong phương pháp này, propene được hydrat hóa trực tiếp bằng nước ở áp suất cao, với sự hỗ trợ của chất xúc tác axit hoặc rắn.

CH3-CH=CH2 + H20 ➝ CH3CH(OH)-CH3

– Hydro hóa gián tiếp: Trong phương pháp này, propene phản ứng với axit sulfuric tạo thành hỗn hợp este sunfat. Sau đó quá trình thủy phân được thực hiện để tạo ra rượu Isopropyl. Cuối cùng, sản phẩm này được cô đặc thông qua quá trình chưng cất.

Ngoài ra, nó còn được hình thành từ quá trình thủy phân các dẫn xuất halogen và thủy phân este trong môi trường kiềm.

4. Tóm tắt vai trò quan trọng của Isopropylic Alcohol

4.1. Dung môi hữu cơ

IPA không phân cực, bay hơi nhanh và ít độc hại nên được sử dụng rộng rãi trong công nghiệp làm dung môi, chất tẩy rửa.

4.2. Chất trung gian

– Khi rượu Isopropyl phản ứng với axit axetic sẽ tạo thành isopropyl axetat – dung môi được sử dụng rộng rãi trong công nghiệp.

– Hợp chất C3H8O khi tương tác với CS2 sẽ tạo ra C4HNaOS2 là chất diệt cỏ cực mạnh.

Rượu isopropyl còn có khả năng phản ứng với kim loại nhôm và tetraclorua titan để tạo ra các hợp chất dùng làm thuốc thử và chất xúc tác.

4.3. Y học, dược phẩm

– Pha loãng cồn Isopropyl trong nước để tạo thành dung dịch có tính chất sát trùng trong lĩnh vực y tế.

– Rượu isopropyl còn được dùng làm chất hỗ trợ làm khô tai trong quá trình điều trị viêm tai, nhiều người còn dùng khi đi bơi để ngăn nước vào tai.

– IPA được sử dụng trong ngành mỹ phẩm vì có độc tính thấp và dịu nhẹ với da nên được sử dụng trong một số loại mỹ phẩm chăm sóc cơ thể.

Xem thêm  Ancol là gì? Tính chất, điều chế, ứng dụng của ancol

4.4. Ngành công nghiệp

– Hóa chất tẩy rửa:

+ Pha loãng cồn Isopropylic với nồng độ từ 35% đến 50% tạo thành dung dịch dùng làm xà phòng, nước lau kính.

+ Trong công nghiệp ô tô, Isopropanol (IPA) đóng vai trò quan trọng là máy sấy khí. Nước tích tụ có thể gây ra vấn đề trong thùng nhiên liệu và đường ống bị đóng băng, đặc biệt nếu lượng nước tích tụ đủ lớn. Vì vậy người ta sử dụng Cồn Isopropylic để hòa tan và trộn với nhiên liệu để ngăn chặn những sự cố không mong muốn nêu trên.

Rượu isopropylic được dùng làm hóa chất tẩy rửa công nghiệp

Rượu isopropylic được dùng làm hóa chất tẩy rửa công nghiệp

– Công nghệ phủ bề mặt: Do tốc độ bay hơi chậm nên cồn Isopropyl còn được sử dụng làm chất chống đục trong sơn nitrocellulose.

– Ngoài ra, C3H8O còn đóng vai trò quan trọng trong vật liệu cơ bản và chất chống đông. Đồng thời, đây cũng là nguồn nguyên liệu chính trong sản xuất isopropyl axetat, glycerin, axeton.

5. Những lưu ý khi sử dụng và bảo quản

– Nếu bình gas chứa Cồn Isopropylic bị rò rỉ, chúng ta vô tình hít phải có thể gây ra những ảnh hưởng xấu cho cơ thể. Đồng thời còn có nguy cơ gây cháy nổ khi tiếp xúc với các vật liệu dễ cháy. Vì vậy, việc sử dụng và bảo quản hóa chất này đòi hỏi phải tuân theo một số nguyên tắc quan trọng:

– Rượu Isopropylic cần được bảo quản ở nơi thông thoáng, tránh xa nguồn nhiệt.

Bảo quản IPA tránh xa nguồn nhiệt

Bảo quản IPA tránh xa nguồn nhiệt

– Nếu khu vực bảo quản có nhiệt độ cao hơn môi trường bình thường thì cần trang bị các thiết bị như quạt thông gió hoặc dụng cụ thông gió để tránh nhiệt độ tăng cao và nguy cơ cháy nổ.

– Khi tiếp xúc với hóa chất phải trang bị đầy đủ các thiết bị bảo hộ như quần áo bảo hộ, găng tay, khẩu trang, kính bảo hộ hóa chất, mặt nạ phòng độc để đảm bảo an toàn cho người sử dụng.

Hiện nay, LabvietCHEM đang phân phối IPA – Cồn Isopropyl sản xuất tại Trung Quốc. Nếu khách hàng có nhu cầu đặt mua sản phẩm vui lòng gọi tới hotline 0826 020 020 để được tư vấn miễn phí.

Nội dung được phát triển bởi đội ngũ truongchuvananhue.edu.vn với mục đích chia sẻ và tăng trải nghiệm khách hàng. Mọi ý kiến đóng góp xin vui lòng liên hệ tổng đài chăm sóc: 1900 0000 hoặc email: hotro@truongchuvananhue.edu.vn

Để lại một bình luận

Email của bạn sẽ không được hiển thị công khai. Các trường bắt buộc được đánh dấu *