Thay đổi công suất tụ bù khi điện áp thay đổi

Tụ điện là một trong những thiết bị quan trọng trong hệ thống điện công nghiệp và dân dụng, được sử dụng phổ biến để bù công suất phản kháng, ổn định điện áp, giảm tổn thất truyền tải và nâng cao hệ số công suất. Tuy nhiên, hiệu suất của tụ điện phụ thuộc rất nhiều vào điều kiện hoạt động, đặc biệt là mức điện áp đầu vào.

Trên thực tế, điện áp lưới không phải lúc nào cũng ổn định mà có thể dao động trong một phạm vi nhất định. Sự thay đổi này ảnh hưởng trực tiếp đến công suất phản kháng do tụ điện tạo ra, từ đó ảnh hưởng đến hiệu suất bù công suất cũng như độ an toàn, độ bền của thiết bị.

Cơ sở lý thuyết

Trong mạch điện xoay chiều, công suất phản kháng Q mà tụ điện phát ra được tính theo công thức:

Q=U2C=U22fC

Trong đó:

  • Q: Công suất phản kháng (var)
  • U: Điện áp đặt vào tụ điện (V)
  • f: Tần số hiện tại (Hz)
  • C: Điện dung (F)

Khi điện áp tăng hoặc giảm thì công suất phản kháng của tụ cũng thay đổi theo công thức:

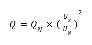
Máy tính hệ số Q 2

Trong đó:

  • QR: Công suất tính toán của tụ điện
  • QN: Công suất danh định ở điện áp định mức
  • Mỹ: Điện áp hệ thống
  • UN: Điện áp định mức của tụ điện

Điều này cho thấy ngay cả một sự thay đổi nhỏ về điện áp cũng có thể dẫn đến sự thay đổi đáng kể về công suất, ảnh hưởng lớn đến hiệu suất và độ an toàn của hệ thống.

Xem thêm  Tần số là gì? Công thức tính và ứng dụng trong thực tế

điện áp và công suất phản kháng 1

Chọn điện áp tụ điện

Khi điện áp tăng:

  • Công suất tụ tăng quá mức thiết kế → có thể gây ra hiện tượng bù quá mức, làm tăng điện áp lưới.
  • Dòng điện qua tụ tăng → sinh ra nhiều nhiệt, giảm tuổi thọ thậm chí khiến tụ bị nổ.
  • Dễ gây hư hỏng các thiết bị điện do điện áp vượt ngưỡng cho phép.

Khi điện áp giảm:

  • Công suất phản kháng không đủ → hệ số công suất giảm.
  • Có thể dẫn đến bị phạt điện nếu không đáp ứng hệ số công suất quy định (thường ≥ 0,9 hoặc 0,95).
  • Hiệu suất bù công suất thấp → ảnh hưởng đến sự ổn định của hệ thống điện.

Cách chọn điện áp tụ phù hợp:

Tùy thuộc vào quốc gia, mức điện áp hệ thống có thể khác nhau. Trong bài viết này, giả sử điện áp hệ thống là 400V, các nhà sản xuất thường cung cấp các tụ điện có điện áp danh định là 415V hoặc 440V để phù hợp cho việc lắp đặt.

thợ điện

Lựa chọn được đề xuất:

  • Tụ điện 415V: Dùng trong hệ thống điện “sạch”, ít thiết bị gây nhiễu, méo hài tổng điện áp (THDu)
  • Tụ điện 440V: Được sử dụng cho các hệ thống có tổng độ méo sóng hài điện áp từ 2–4% hoặc khi tụ điện kết hợp với cuộn kháng 6%–7% để lọc sóng hài.

Tụ điện là thiết bị quan trọng trong việc bù công suất phản kháng, tuy nhiên công suất do tụ tạo ra phụ thuộc vào bình phương điện áp lưới. Vì vậy, việc lựa chọn và vận hành tụ điện phải xét đến mức điện áp thực tế, tránh hiện tượng bù quá mức, phát nhiệt, giảm tuổi thọ hoặc giảm hiệu suất hệ thống.

Xem thêm  Ký hiệu C16, C20, C32, C40 trên aptomat là gì?

Thiết kế, lựa chọn và giám sát tụ điện phải dựa trên các yếu tố như dao động điện áp, điều kiện hệ thống và mức độ méo sóng hài. Bên cạnh đó, việc sử dụng các thiết bị điều khiển hiện đại, tự động sẽ là giải pháp tối ưu đảm bảo hệ thống điện hoạt động ổn định, hiệu quả và an toàn lâu dài.

Nội dung được phát triển bởi đội ngũ truonglehongphong.edu.vn với mục đích chia sẻ và tăng trải nghiệm khách hàng. Mọi ý kiến đóng góp xin vui lòng liên hệ tổng đài chăm sóc: 1900 0000 hoặc email: hotro@truonglehongphong.edu.vn

Để lại một bình luận

Email của bạn sẽ không được hiển thị công khai. Các trường bắt buộc được đánh dấu *