Tần số là gì? Công thức tính và ứng dụng trong thực tế

Tần số là một thuật ngữ quen thuộc trong điện học, âm thanh hay toán học. Đây là thuật ngữ đo số lần lặp lại của một hiện tượng nhất định. Trong bài viết dưới đây KTH ELECTRIC sẽ giúp các bạn tìm hiểu các khái niệm liên quan đến tần số, công thức tính toán và tần số được ứng dụng như thế nào trong thực tế.

Tần số là gì?

Tần số được định nghĩa là số lần lặp lại của một hiện tượng trong một đơn vị thời gian. Việc đo tần số sẽ đếm số lần xuất hiện của hiện tượng đó và chia cho khoảng thời gian đã chọn. Đơn vị tần số là Hz, được đặt theo tên nhà vật lý người Đức Heinrich Rudolf Hertz. IEC đặt tên cho đơn vị này vào năm 1930 để vinh danh ông, người có công khám phá ra sóng điện từ.

cho đến nay

Một số đơn vị đo tần số khác:

  • Số vòng quay trên phút (rpm): dùng để đo tốc độ động cơ,…
  • Nhịp mỗi phút (bpm): dùng để đo nhịp tim, nốt nhạc trong bản nhạc,…

Công thức tính tần số từ các đại lượng khác

Trong lĩnh vực toán học, tần số có mối quan hệ chặt chẽ với thời gian và các đại lượng liên quan như chu kỳ, bước sóng hay tần số góc. Từ đó, chúng ta có thể xây dựng công thức tính tần số dựa trên các đại lượng này.

Xem thêm  Top 5 Công tắc hẹn giờ thông minh phổ biến nhất 2025

Từ tần số góc

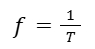
Ký hiệu tần số là f, ký hiệu chu kỳ là T. Trong toán học, tần số và chu kỳ là nghịch đảo của nhau:

Thuốc hòa tan số

Trong đó chu kỳ (T) có đơn vị là s (giây).

Cùng với đó, tần số và thời gian là hai khái niệm trái ngược nhau. 1Hz biểu thị sự lặp lại của sự kiện là 1 lần mỗi giây. Mối quan hệ đó là:

Thuốc hòa tan số

Từ bước sóng

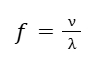
Trong chuyển động sóng, tần số được hiểu là số lần đỉnh sóng được tạo ra tại một điểm trong một đơn vị thời gian. Bước sóng của sóng được tính bằng chu kỳ nhân với tốc độ truyền sóng. Do đó, tần số bằng vận tốc sóng chia cho bước sóng:

Thuốc hòa tan số

Trong đó:

  • v: vận tốc, đơn vị chung là m/s (mét/giây)
  • λ (lamda): bước sóng, đơn vị chung là m (mét)

Khi sóng truyền qua các môi trường khác nhau thì tần số không thay đổi nhưng hai đại lượng còn lại có thể thay đổi tỷ lệ thuận.

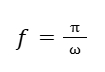
Từ tần số góc

Tần số góc (ký hiệu là ω – omega) là đại lượng được đo bằng góc mà bán kính chuyển động tròn quét được trong một đơn vị thời gian. Dựa vào tần số góc có thể tính được tần số:

Thuốc hòa tan số

Trong đó:

  • π là hằng số pi, tương đương với giá trị 3,14
  • ⍵ là tần số góc, đơn vị đo là rad/s (radian/giây)

Từ sóng điện từ trong chân không

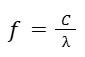
Trong môi trường chân không, vận tốc của sóng điện từ không bị ảnh hưởng nhiều bởi các yếu tố khác. Khi đó tốc độ sóng sẽ bằng tốc độ ánh sáng. Công thức tính tần số trong môi trường này như sau:

Xem thêm  Có nên dùng Aptomat chống giật cho hệ thống điện trong gia đình

Thuốc hòa tan số

Trong đó:

  • C: tốc độ ánh sáng không đổi, tương đương với 299.792.458 m/s (mét/giây)
  • λ (lamda): bước sóng, đơn vị chung là m (mét)

Đọc thêm: Công suất là gì? Ký hiệu, đơn vị và công thức tính

Dải tần phổ biến

  • Dải tần số âm thanh con người nghe được: 20Hz – 20kHz
  • Dải tần vô tuyến: 30 – 300kHz
  • Dải tần thấp: 300kHz – 3 MHz
  • Dải tần trung bình: 3 – 30 MHz
  • Dải tần cao: 30 – 300 MHz
  • Tần số hiện tại phổ biến: 50Hz hoặc 60Hz

Ứng dụng thực tế của tần số

Trong thực tế, tần số được sử dụng để đo chất lượng âm thanh hoặc thiết bị vật lý.

Tần số trong ngành điện

Trong mạng điện dân dụng, tần số được sử dụng là 50Hz hoặc 60Hz. Ví dụ với tần số 50Hz thì được hiểu là trong 1/50 giây dòng điện sẽ đổi chiều, nghĩa là dòng điện sẽ lặp lại 50 lần trong 1 giây.

cho đến nay

Ở DC, dòng điện chỉ chạy theo một hướng nhất định nên tần số bằng 0. Ngược lại, ở AC, biên độ dòng điện có dạng hình sin, đối xứng ở cả hai nửa chu kỳ dương và âm nên sẽ có tần số.

Tần số quét màn hình

Tần số quét của màn hình biểu thị số lượng khung hình có thể phát trong 1 giây của màn hình. Các đoạn phim trên màn hình được phát bằng cách lật khung hình. Càng lật nhiều khung hình và tốc độ lật càng nhanh đồng nghĩa với chất lượng màn hình càng cao.

Xem thêm  Hệ thống điện là gì? Tầm quan trọng của hệ thống điện quốc gia

Hòa tan số màn hình

Hoặc tần số quét có thể hiểu là tốc độ phản ứng của màn hình khi nhận lệnh từ thiết bị điều khiển. Tần số quét màn hình phổ biến hiện nay là 30Hz, 60Hz, 90Hz, 120Hz, 240Hz,… 1Hz tương đương với 1 khung hình chạy trên màn hình trong 1 giây.

Tất cả các loại thiết bị điện tử có màn hình như máy tính, điện thoại, tivi, màn hình điều khiển… đều có tần số quét dù là LED, LCD hay các loại khác.

Tần số sóng âm

Tần số âm thanh mà con người nghe được nằm trong khoảng từ 20Hz đến 20kHz. Vượt quá ngưỡng âm thanh này, con người không thể nghe thấy nhưng động vật và các thiết bị đo lường có thể nghe thấy.

Làm tan chảy âm thanh của bài hát

Sóng hạ âm có tần số dưới 20Hz và có thể được nghe thấy bởi voi, hà mã, tê giác, cá sấu, v.v. Loại sóng này được sử dụng trong địa chấn, khí tượng, giám sát môi trường và cả quân sự và công nghiệp.

Sóng siêu âm có tần số trên 20kHz và có thể được nghe thấy bởi cá voi, dơi và cá heo. Loại sóng này được ứng dụng trong y học, thăm dò địa chất, công nghiệp hóa chất, nông nghiệp,…

Tần số viễn thông

Tần số là yếu tố then chốt trong việc truyền sóng viễn thông hiện nay. Sóng truyền hình, sóng vô tuyến, sóng mạng di động đều sử dụng các dải tần cố định để ổn định đường truyền, tránh xung đột, nhiễu giữa các hệ thống.

Giải mã số trực tuyến

Mạng wifi thường được truyền với tần số 2,4GHz hoặc 5GHz, 6GHz. Công nghệ Bluetooth sử dụng tần số 2.4GHz. Công nghệ GPS phổ biến sử dụng tần số L1 là 1.575,42 MHz trong dải tần siêu cao UHF. Trong mạng di động, sóng 4G sử dụng băng tần 1800MHZ và 2600 MHz; Trong khi sóng 5G được truyền chủ yếu ở băng tần 2600MHz.

Tìm hiểu thêm các thuật ngữ khác ngành điện tại: https://btb-electric.com/vi/tin-tuc/kien-thuc-nganh/thuat-ngu-nganh-dien/

Nội dung được phát triển bởi đội ngũ truonglehongphong.edu.vn với mục đích chia sẻ và tăng trải nghiệm khách hàng. Mọi ý kiến đóng góp xin vui lòng liên hệ tổng đài chăm sóc: 1900 0000 hoặc email: hotro@truonglehongphong.edu.vn

Để lại một bình luận

Email của bạn sẽ không được hiển thị công khai. Các trường bắt buộc được đánh dấu *