Máy biến áp: Cấu tạo, nguyên lý hoạt động & phân loại

Máy biến áp được tìm thấy tại các trạm biến áp và là thiết bị có hình dạng đa dạng với nhiều kích cỡ. Thiết bị này được đặt ở trung tâm trạm biến áp và có vai trò rất quan trọng trong việc truyền tải điện năng. Hãy cùng KTH ELECTRIC tìm hiểu mọi khía cạnh về máy biến áp qua bài phân tích sau đây.

Máy biến áp là gì?

Máy biến áp (gọi tắt là máy biến áp) hay máy biến áp là một thiết bị điện lớn có nhiệm vụ truyền năng lượng hoặc tín hiệu điện xen kẽ giữa các mạch điện thông qua nguyên lý cảm ứng điện từ. Dòng điện làm việc của máy biến áp là dòng điện xoay chiều AC hoặc dòng điện xung biến đổi.

máy may

Máy biến áp được sử dụng trong mạng lưới truyền tải và phân phối điện, tức là mạng điện cao thế và trung thế. Ngoài ra, thiết bị còn được sử dụng làm nguồn điện cho các thiết bị điện có công suất lớn.

Lịch sử phát triển của máy biến áp

Máy biến áp đầu tiên trên thế giới có tên “ZBD Transformer” được phát minh vào năm 1884 bởi các nhà khoa học Károly Zipernowsky, Miksa Déri và Ottó Titusz Bláthy. 53 năm trước, Michael Faraday đã phát hiện ra mối tương quan giữa dòng điện và từ trường, liên quan trực tiếp đến nguyên lý hoạt động của thiết bị này.

Máy biến áp “Máy biến áp ZBD”Máy biến áp “Máy biến áp ZBD”

Năm 1886, máy biến áp xoay chiều đầu tiên ra đời ở Mỹ. Ba năm sau, máy biến áp ba pha đầu tiên ra đời ở Đức. Ngoài ra, vào năm 1891 Nikola Tesla đã phát minh ra máy biến áp mang tên ông với khả năng tạo ra dòng điện xoay chiều có tần số và điện áp cao.

biểu tượng nikola tesla

Đến năm 1907, đường dây truyền tải điện 110kV đầu tiên ra đời ở Mỹ, đánh dấu việc sử dụng chính thức máy biến áp trong truyền tải điện trung thế. Đến năm 1920, đường dây truyền tải 220kV đầu tiên ra đời. Và đường dây truyền tải điện cao thế 380kV đầu tiên trên thế giới ra đời vào năm 1952 tại Thụy Điển.

Xem thêm  Ở biệt thự nên chọn những thiết bị điện nào?

máy may

Năm 1965 và 1982, đường dây 735kV và 1200kV đầu tiên được hoàn thành. Mỗi đường dây có thể có máy biến áp sử dụng điện áp tương tự làm trung tâm phân phối điện.

Chức năng của máy biến áp

Máy biến áp là đầu mối trong đường dây truyền tải điện với các chức năng sau:

  • Booster: tăng điện áp từ máy phát lên đường dây để truyền tải điện đi quãng đường dài.
  • Giảm điện áp: giảm điện áp cuối đường dây để tạo ra mức điện áp phù hợp cho đường dây hoặc phụ tải.

máy may

Máy biến áp có thể là nguồn năng lượng trực tiếp cho các thiết bị điện, điện tử và công nghiệp công suất lớn. Ngoài ra, thiết bị này còn có chức năng đo điện áp, dòng điện, nhiệt độ,… trong hệ thống.

Đọc thêm: Tổng hợp ký hiệu máy biến áp và ý nghĩa chi tiết

Cấu tạo chi tiết của máy biến áp

Máy biến áp bao gồm cuộn sơ cấp và một hoặc nhiều cuộn thứ cấp được liên kết với nhau thông qua trường điện từ. Bao bọc bên ngoài là vỏ máy. Các cuộn dây được làm bằng lõi thép và dây quấn. Cuộn sơ cấp là cuộn nhận năng lượng, cuộn thứ cấp là cuộn truyền năng lượng.

Cách tạo AP phiên bản 1

Lõi cuộn sơ cấp và thứ cấp

Lõi cuộn dây bao gồm hai phần: hình trụ và ách. Trụ là nơi đặt dây quấn và ách là bộ phận nối các trụ để tạo thành mạch từ kín. Lõi cuộn dây được làm từ vật liệu dẫn từ tốt, tùy theo tần số làm việc:

  • Ở tần số thấp (máy biến áp điện), các vật liệu lõi có tính thấm từ cao như thép silic, permalloy,… bố trí một mạch từ kín có lõi làm bằng các lá chữ E, U, I, v.v..
  • Ở tần số cao (siêu âm, sóng vô tuyến), vật liệu là lõi ferit có tác dụng đóng mạch từ.
  • Ở tần số cực cao (vi sóng, sóng truyền hình), máy biến áp sử dụng lõi không khí và hầu hết không đóng mạch từ. Tuy nhiên, mối quan hệ điện từ khác với hai loại máy điện ở tần số trên nên không được coi là máy biến áp thực sự.

Dòng điện có điện áp xác định khi đặt vào cuộn sơ cấp sẽ tạo ra một trường điện từ, sau đó tạo ra dòng điện cảm ứng ở cuộn thứ cấp. Cuộn dây sơ cấp và thứ cấp có thể được cách ly hoặc nối với nhau bằng điện hoặc dùng chung một vòng.

Xem thêm  Hướng dẫn chi tiết đấu nối khởi động từ 3 pha và 1 pha

Dây quấn

Cuộn dây lõi có nhiệm vụ nhận và truyền năng lượng. Dây điện thường được làm từ nhôm hoặc đồng, có tiết diện phẳng hoặc tròn. Giữa các bộ phận như dây quấn, vòng dây hay lõi cuộn dây đều có các lớp cách điện lẫn nhau.

Tỉ số điện áp trên cuộn sơ cấp và thứ cấp thường tỷ lệ thuận với số vòng dây của hai cuộn dây, gọi là tỉ số máy biến áp. Tỉ số này > 1 gọi là máy biến áp hạ áp, ngược lại tỉ số này là

Các loại cuộn dây quấn:

  • Cuộn dây hình trụ, dùng cho máy điện cao thế và hạ thế.
  • Cuộn dây xoắn ốc, dùng cho máy điện hạ thế có nhiều dây ngắn.
  • Dây quấn xoắn ốc liên tục có mặt cắt ngang hình chữ nhật phẳng, dùng cho máy cao áp.
  • Quấn dây xen kẽ giữa vòng dây điện áp cao và vòng dây điện áp thấp.

Vỏ máy biến áp

Vật liệu làm vỏ máy biến áp phụ thuộc vào loại máy biến áp, bao gồm nhựa, gỗ, thép, tôn hoặc gang. Hộp bao gồm một nắp và một nắp đậy, có tác dụng bảo vệ cuộn dây và các bộ phận khác bên trong.

Cách tạo AP phiên bản 2

Vỏ vỏ dùng để bọc vỏ máy biến áp, bên trên có các bộ phận quan trọng như:

  • Đầu ra (cách điện) của cuộn dây điện áp cao và điện áp thấp.
  • Bình giãn nở dầu (bình dầu phụ) có ống thủy tinh để xem mức dầu.
  • Ống bảo hiểm bằng thép hình trụ nghiêng có một đầu nối với vỏ, đầu còn lại được bọc bằng đĩa thủy tinh.
  • Lỗ nhiệt kế.
  • Rơle hơi nước.
  • Thiết bị truyền động ngắt mạch.

Nguyên lý hoạt động của máy biến áp

Máy biến áp hoạt động dựa trên hai hiện tượng vật lý liên quan đến dòng điện và từ trường:

  • Dòng điện chạy qua dây dẫn tạo ra từ trường.
  • Từ trường thay đổi trong cuộn dây tạo ra điện áp cảm ứng (định luật Faraday).

định luật faraday

Dòng điện chạy qua cuộn sơ cấp với điện áp ban đầu hướng vào cuộn thứ cấp, tạo ra từ trường thay đổi. Từ trường này tạo ra điện áp thứ cấp trong mạch thứ cấp. Mức điện áp này có thể thay đổi thông qua tốc độ cuộn dây của cuộn dây.

Xem thêm  Các hạng mục thí nghiệm RCBO điển hình theo IEC 61009-1

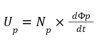
Công thức tính điện áp thứ cấp theo định luật Faraday:

Máy biến áp 1

Trong đó:

  • Lên là điện áp mạch sơ cấp
  • Np là số vòng dây sơ cấp
  • Ip là cường độ dòng điện mạch sơ cấp
  • Φp là từ thông trong mạch sơ cấp

Máy biến áp 2

Trong đó:

  • Us là điện áp mạch thứ cấp
  • Ns là số vòng dây thứ cấp
  • Is là cường độ dòng điện mạch thứ cấp
  • Φs là từ thông trong mạch thứ cấp

Nếu như Máy biến áp 3 sau đó Máy biến áp 4 và tạo ra máy biến áp lý tưởng.

Các loại máy biến áp trong hệ thống điện

Dựa vào các chỉ số như cấu tạo, chức năng, công suất hay phương pháp cách điện,… để phân loại máy biến áp:

  • Theo điện áp: Máy biến áp 1 pha và máy biến áp 3 pha
  • Theo chức năng: Máy biến áp hạ thế và máy biến áp cao thế
  • Theo phương pháp cách điện: Máy biến áp lõi dầu, máy biến áp lõi không khí
  • Theo ứng dụng: Máy biến áp điện lực, máy biến áp dân dụng, máy biến áp xung, máy biến áp hàn,…

Xem chi tiết tại: Tổng hợp các loại máy biến áp phổ biến trên thị trường

Ứng dụng của máy biến áp

Máy biến áp được sử dụng tích hợp trong trạm biến áp để chuyển đổi điện áp về giá trị mong muốn. Máy có thể đặt ở vị trí hở (trên trạm biến áp cột, trạm biến áp giàn…) hoặc đặt kín (trong trạm biến áp tích hợp, trạm biến áp trong nhà…)

máy biến áp ngoài trời

Máy biến áp đặt ở cuối đường dây chuyển đổi từ điện áp trung thế 10kV sang điện áp thấp 220V hoặc 380V cho phụ tải. Ngược lại, khi đặt tại các nhà máy điện, máy sẽ tăng điện áp từ 10kV – 50kV (trung thế) lên 110kV – 500kV (cao thế) trở lên. Nguyên nhân là do khi truyền tải điện đi khoảng cách lớn (giữa các tỉnh), điện áp càng cao thì tổn thất điện năng càng ít.

Ngoài ra, còn có một phiên bản công suất nhỏ của máy biến áp dùng trong gia đình gọi là ổn áp, dùng để ổn định mức điện áp sử dụng hàng ngày.

Có thể thấy, máy biến áp là thiết bị quan trọng nhất trong trạm biến áp với nhiệm vụ biến đổi các cấp điện áp phục vụ truyền tải và sử dụng điện năng. Với những phân tích trên, KTH ELECTRIC đã giúp bạn hiểu rõ hơn về cấu tạo, nguyên lý hoạt động cũng như cách nhận biết loại thiết bị này. Mời bạn theo dõi các bài viết khác của chúng tôi về máy biến áp nói riêng và thiết bị trong trạm biến áp nói chung tại: https://btb-electric.com/vi/tin-tuc/kien-thuc-nganh/kien-thuc-tram-bien-ap/

Nội dung được phát triển bởi đội ngũ truonglehongphong.edu.vn với mục đích chia sẻ và tăng trải nghiệm khách hàng. Mọi ý kiến đóng góp xin vui lòng liên hệ tổng đài chăm sóc: 1900 0000 hoặc email: hotro@truonglehongphong.edu.vn

Để lại một bình luận

Email của bạn sẽ không được hiển thị công khai. Các trường bắt buộc được đánh dấu *