Nội dung bài viết
Cyclohexane là dung môi có nhiều ứng dụng trong đời sống sản xuất như dùng trong mực in, keo dán, sơn phủ, thuốc nhuộm. Vậy Cyclohexane là gì, nó có những đặc tính gì, trong quá trình sử dụng cần lưu ý những gì?… Bạn đọc hãy đọc qua bài viết dưới đây để có được câu trả lời chi tiết.
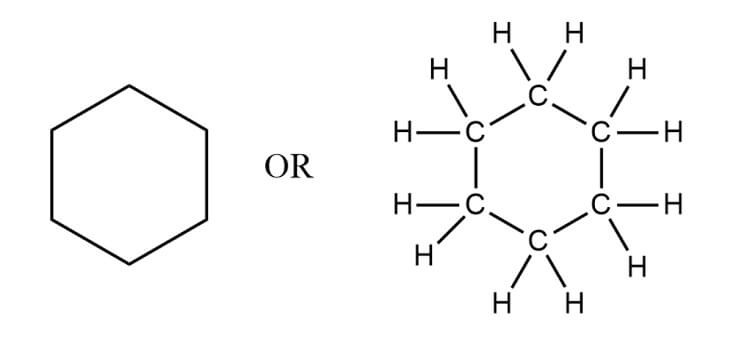
1. Cyclohexane là gì?
Cyclohexane là một hợp chất hydrocarbon hữu cơ bão hòa thuộc nhóm cycloalkane, có công thức phân tử C6H12. Cyclohexane còn được gọi là Hexamethylene. Đây là hợp chất không phân cực gồm 6 nguyên tử cacbon liên kết với nhau tạo thành vòng, mỗi nguyên tử cacbon liên kết với 2 nguyên tử hydro.
Cyclohexane tồn tại dưới dạng chất lỏng trong suốt, không màu, có mùi giống dầu mỏ. Hợp chất này thường được dùng làm dung môi hòa tan nhiều hợp chất hữu cơ, trong sản xuất các hóa chất công nghiệp như axit adipic và caprolactam, tiền chất của nylon…

Cyclohexane là gì?
2. Tính chất đặc trưng của Cylohexane
– Ngoại quan: Chất lỏng trong suốt, không màu, có thể bị oxy hóa và chuyển sang màu vàng theo thời gian.
– Trọng lượng phân tử: 84,162 g/mol.
– Tỷ trọng: 0,7739g/ml, dạng lỏng; và 0,996g/ml – chất rắn.
– Nhiệt độ sôi: 80,74°C.
– Nhiệt độ đông lạnh: – 31 độ C.
– Độ hòa tan: Không hòa tan trong nước. Hòa tan trong các dung môi hữu cơ như rượu, benzen, este và cloroform.
– Độ nhớt: 1,02 cP ở 17°C.
– Mùi: Có mùi xăng.

Cấu hình ghế Cyclohexane
3. Phương pháp điều chế Cyclohexane
– Phương pháp bào chế hiện nay:
Ở quy mô công nghiệp, Cyclohexane được sản xuất bằng cách hydro hóa benzen với chất xúc tác Niken Raney. Nguyên liệu để sản xuất Cyclohexane chiếm khoảng 11,4% lượng benzen toàn cầu. Phản ứng tỏa nhiệt cao, với ΔH (500K) = -216,37 kJ/mol. Khi nhiệt độ trên 300°C sẽ thuận lợi cho quá trình khử hydro.
– Trong quá khứ:
Vì Cyclohexane không tồn tại trong tự nhiên nên các nhà khoa học đã cố gắng tổng hợp nó bằng nhiều phương pháp khác nhau. Tuy nhiên, phải đến năm 1894 Cyclohexane mới được tổng hợp thành công:
+ Baeyer tổng hợp Cyclohexane bắt đầu bằng phản ứng keton hóa axit pimelic rồi khử nhiều lần:

Điều chế Cyclohexane theo Baeyer
+ E. Haworth và WH Perkin Jr. (1860–1929) điều chế nó bằng phản ứng Wurtz của 1,6-dibromohexane:

Điều chế Cyclohexane theo E. Haworth và WH Perkin Jr
4. Ứng dụng quan trọng của Cyclohexane
Cyclohexane được sử dụng trong nhiều lĩnh vực, bao gồm:
– Trong sản xuất các hợp chất hữu cơ: Cyclohexane được dùng để tổng hợp cyclohexanone và cyclohexanol thông qua quá trình oxy hóa. Hỗn hợp cyclohexanone-cyclohexanol là nguyên liệu sản xuất axit adipic, caprolactam – 2 tiền chất sản xuất nylon 6 và nylon 6,6. Đây là hai loại polyamit phổ biến trong ngành dệt may và sản xuất nhựa.
– Trong sản xuất keo, băng keo: Dung môi Cyclohexane giúp điều hòa tốc độ bay hơi của chất kết dính.
– Trong dệt nhuộm và thuộc da: Dung môi cyclohexanone được dùng làm chất phụ gia trong dung dịch kiềm và xà phòng nhôm để ngâm sợi. Nó còn được dùng làm chất tẩy trắng và là chất làm tăng độ bám dính của sơn màu, giúp sản phẩm có màu sắc đẹp và bền hơn.
Cyclohexane được sử dụng trong ngành dệt nhuộm
– Trong sản xuất chất phủ bề mặt: Cyclohexanone có tác dụng làm tăng dòng chảy của sơn mài cellulose axetat và tẩy sơn, đồng thời chống ẩm cho sơn mài cellulose nitrat nhằm tăng độ bám dính, chống nấm mốc cho sơn.
– Trong sản xuất nhựa và mực in: Cyclohexane đóng vai trò là chất nhũ hóa và chất xúc tác trong quá trình tổng hợp nhựa polyester. Ngoài ra còn là thành phần trong hỗn hợp dung môi dùng cho mực in và nhựa PVC.
5. Những lưu ý trong quá trình sử dụng và bảo quản Cyclohexane
5.1 Những lưu ý khi bảo quản Cyclohexane
Cyclohexane là một chất rất dễ cháy, dễ bắt lửa khi tiếp xúc với nhiệt. tia lửa. Hơi có thể tạo thành hỗn hợp nổ trong không khí. Vì vậy, khi bảo quản Cyclohexane cần chú ý:
– Bảo quản nơi thoáng mát, nhiệt độ thấp, tránh xa các nguồn nhiệt và tránh ánh nắng trực tiếp. Không hút thuốc hoặc sử dụng bật lửa khi vận chuyển, bảo quản, sử dụng.
– Sau khi sử dụng, đóng kín nắp hộp để hạn chế bay hơi.

Cẩn thận tránh nhiệt độ cao khi vận chuyển Cyclohexane
5.2 Những lưu ý khi sử dụng Cyclohexane
Theo báo cáo, Cyclohexane có hại cho sức khỏe con người và môi trường. Hợp chất này gây kích ứng da, gây buồn ngủ, chóng mặt, nguy hiểm khi hít phải và có thể gây tử vong nếu nuốt phải. Tuy nhiên, theo đánh giá của IRAC, cyclohexane không gây nguy cơ gây ung thư. Khi thải ra môi trường sẽ gây nguy hiểm cấp tính và lâu dài cho môi trường nước.
Vì vậy, khi sử dụng bạn cần trang bị đầy đủ các thiết bị bảo hộ như quần áo, găng tay, khẩu trang để đảm bảo an toàn. Khi xảy ra sự cố cần nhanh chóng thực hiện các biện pháp khắc phục cần thiết:
– Nếu rơi vào mắt: Tháo kính áp tròng (nếu có). Rửa mắt nạn nhân bằng nước hoặc dung dịch nước muối sinh lý trong 20 – 30 phút và đưa đến cơ sở y tế gần nhất. Không sử dụng bất kỳ loại thuốc mắt nào cho nạn nhân mà không có hướng dẫn cụ thể của bác sĩ.
– Nếu tiếp xúc với da: Rửa ngay vùng da tiếp xúc với nước. Nếu hóa chất thấm vào quần áo, hãy cởi bỏ quần áo ngay lập tức và rửa sạch da ngay bằng nước. Khẩn trương đưa bệnh nhân đến bệnh viện.
– Nếu hít phải Cyclohexane: Đưa ngay nạn nhân đến nơi thông thoáng. Nếu có dấu hiệu khó thở, hô hấp nhân tạo và thở oxy. Đưa ngay nạn nhân đến cơ sở y tế để cấp cứu.
– Nếu vô tình uống phải Cyclohexane: Súc miệng nạn nhân. Không gây nôn hoặc tùy tiện cho nạn nhân uống bất cứ thứ gì. Khẩn trương đưa nạn nhân đến bệnh viện ngay lập tức.
6. Mua Cyclohexane ở đâu uy tín, chất lượng
Trên thị trường có rất nhiều nhà cung cấp hóa chất Cyclohexane, trong đó có Vietchem. Với 20 năm hoạt động trong lĩnh vực hóa chất công nghiệp, dựa trên uy tín của mình, vietchem luôn cam kết mang đến cho khách hàng những sản phẩm chất lượng, an toàn, có nguồn gốc xuất xứ rõ ràng giúp khách hàng yên tâm sử dụng. sử dụng sản phẩm và ổn định sản xuất.
Nếu bạn đang có nhu cầu về các sản phẩm trên, vui lòng tham khảo website Trường Chu Văn An hoặc liên hệ tới hotline: 0826 010 010 để được tư vấn cụ thể. Ngoài dung môi công nghiệp, công ty còn cung cấp các loại hóa chất công nghiệp. phòng thí nghiệm.
Hy vọng bài viết trên đã giúp bạn đọc có được những thông tin cơ bản về hóa chất Cyclohexane về tính chất, công dụng cũng như những lưu ý khi sử dụng và bảo quản.

    
Nội dung được phát triển bởi đội ngũ truongchuvananhue.edu.vn với mục đích chia sẻ và tăng trải nghiệm khách hàng. Mọi ý kiến đóng góp xin vui lòng liên hệ tổng đài chăm sóc: 1900 0000 hoặc email: hotro@truongchuvananhue.edu.vn