Dung kháng tụ điện là gì? Công thức tính và ứng dụng

Điện dung đóng vai trò quyết định trong việc cho dòng điện xoay chiều chạy qua mạch. Việc hiểu rõ về điện dung của tụ điện và các vấn đề liên quan sẽ phần nào giúp bạn tối ưu hóa hiệu suất của tụ điện trong hệ thống điện. Hãy tham khảo ngay bài phân tích dưới đây của KTH ELECTRIC.

Điện trở của tụ điện là gì?

Tụ điện cho phép dòng điện xoay chiều chạy khi có tín hiệu. Tuy nhiên, với tín hiệu dòng điện một chiều, tụ điện chỉ cho dòng điện chạy qua trong khoảng thời gian nhất thời (khi nạp hoặc xả tụ). Khi tụ điện được sạc đầy hoặc phóng điện, dòng điện một chiều không thể chạy qua.

Dũng Khang 1

Điện kháng là đại lượng biểu thị khả năng của tụ điện cản trở dòng điện xoay chiều, khác với trở kháng của điện trở thông thường. Giá trị điện dung của tụ điện phụ thuộc vào giá trị điện dung của tụ điện. Đồng thời, khi thay đổi tần số dòng điện vào thì điện trở dòng điện xoay chiều của tụ điện cũng sẽ thay đổi.

Ký hiệu và công thức tính điện trở của tụ điện

Tụ điện được sử dụng để đưa một lượng điện dung nhất định vào mạch điện và làm cho điện áp lệch 90 độ so với dòng điện. Dựa trên nguyên lý này, công thức tính điện kháng của dàn tụ điện được biểu thị như sau:

Xem thêm  Địa chỉ cung cấp Aptomat khối MCCB chính hãng, giá tốt nhất

công thức sức khỏe 1

Trong đó:

  • ZC là điện dung của tụ điện (Ohm, Ω)
  • ⍵ là tần số góc (radian/giây, rad/s), công thức là ⍵=2πf trong đó f là tần số hiện tại (Hertz, Hz)
  • C là điện dung của tụ điện (Fara, F)
  • Không thay đổi thực phẩm tốt cho sức khỏe 2

Dựa vào công thức trên có thể thấy:

  • Khi điện dung của tụ tăng thì điện kháng sẽ giảm, giúp dòng điện chạy qua tụ dễ dàng hơn
  • Khi tần số dòng điện tăng thì điện dung sẽ giảm và dòng điện qua tụ tăng

Ví dụ, một tụ điện 10kVAr có điện dung C=114μF được mắc vào dòng điện xoay chiều có tần số 50Hz thì điện dung của tụ điện sẽ được tính như sau:

  • Bước 1: Chuyển đổi đơn vị: 114μF = 114 × 10⁻⁶ F
  • Bước 2: Sử dụng công thức tính

thuốc tăng cường sinh lực 2

Vậy điện dung của tụ điện trong trường hợp này là khoảng 27,92 (Ω)

Khi lắp một tụ điện vào mạch điện, điện dung gần như không đổi trở kháng điện trở thay đổi theo tần số dòng điện. Hiện nay, tần số phổ biến cho dòng điện xoay chiều ở cả mạch 1 pha và 3 pha là 50Hz hoặc 60Hz.

Cách tính điện dung khi lắp dàn tụ điện

Nối tụ điện nối tiếp

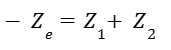
Nếu hai tụ điện mắc nối tiếp trong một mạch điện thì điện kháng tương đương sẽ được tính theo công thức đơn giản:

thuốc tốt cho sức khỏe 3

Trong trường hợp phức tạp hơn, hãy sử dụng công thức:

Ví dụ, một tụ điện 10 Ω mắc nối tiếp với tụ điện 1mF ở tần số 100Hz sẽ có điện kháng tương đương là:

Xem thêm  Công suất là gì? Ký hiệu, đơn vị và công thức tính toán

sức khỏe và sức sống 7

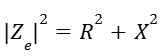
Điện trở hiệu dụng (cường độ điện trở) sẽ được tính như sau:

sức khỏe và sức sống 8

Theo ví dụ trên, độ lớn của điện trở là:

sức khỏe và sức sống 9

Nối các tụ điện song song

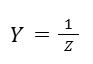
Độ dẫn điện (đơn vị là siemens, S) là thước đo khả năng của một phần tử cho phép dòng điện chạy qua. Giá trị nghịch đảo của đại lượng này là điện trở.

y học sức khỏe 10

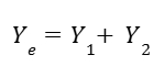
Độ dẫn tương đương của hai tụ điện mắc song song bằng tổng các độ dẫn riêng lẻ:

11

Sử dụng các giá trị tương đương từ ví dụ trước để tính điện trở:

12

13

14

15

Độ lớn của điện trở là:

16

Điện kháng của tụ điện là đại lượng quan trọng quyết định khả năng chịu dòng điện xoay chiều của tụ điện. Đồng thời, đại lượng này cũng là yếu tố cần quan tâm khi lựa chọn tụ điện phù hợp cho hệ thống điện. Ngoài điện dung, bạn có thể tìm hiểu thêm các thuật ngữ trong ngành điện tại: https://btb-electric.com/vi/tin-tuc/kien-thuc-nganh/thuat-ngu-nganh-dien/

Nội dung được phát triển bởi đội ngũ truonglehongphong.edu.vn với mục đích chia sẻ và tăng trải nghiệm khách hàng. Mọi ý kiến đóng góp xin vui lòng liên hệ tổng đài chăm sóc: 1900 0000 hoặc email: hotro@truonglehongphong.edu.vn

Để lại một bình luận

Email của bạn sẽ không được hiển thị công khai. Các trường bắt buộc được đánh dấu *