Nội dung bài viết
Fuco là một hiện tượng vật lý thú vị không chỉ ảnh hưởng tiêu cực đến hiệu suất thiết bị mà còn được các nhà khoa học ứng dụng trong nhiều lĩnh vực điện từ. Vậy dòng điện Fuco là gì? Tác hại của dòng điện này là gì? Hãy cùng tìm hiểu qua bài viết.
Khái niệm về dòng điện Fuco
Dòng điện Fuco, tên đầy đủ là dòng điện Foucault, là một hiện tượng vật lý được đặt theo tên nhà vật lý người Pháp Jean-Bernard-Léon Foucault – người đã nghiên cứu và mô tả thuật ngữ này dựa trên từ thông biến thiên.
Fuco (còn gọi là dòng điện xoáy) được định nghĩa là hiện tượng dòng điện sinh ra khi một vật dẫn điện được đặt trong một từ trường biến thiên theo thời gian hoặc chuyển động trong một từ trường cố định – theo định luật cảm ứng điện từ Faraday. Khi từ trường thay đổi sẽ sinh ra một suất điện động trong dây dẫn, từ đó sinh ra dòng điện cảm ứng có dạng vòng tròn khép kín. Đây là dòng điện xoáy hay còn gọi là dòng Fuco.

Trên thực tế, dòng điện Fuco được nhà khoa học người Pháp François Arago quan sát lần đầu tiên vào năm 1824, nhưng phải đến năm 1855, Léon Foucault mới chính thức chứng minh sự tồn tại của dòng điện xoáy khi thí nghiệm quay một đĩa kim loại quanh một trục không ma sát. Khi lặp lại thí nghiệm trên nhưng đặt đĩa kim loại vào từ trường mạnh, đĩa nhanh chóng ngừng quay và nóng lên.

Nguyên lý hình thành và đặc điểm của dòng điện xoáy
Nguyên tắc hình thành
Nguyên lý hình thành dòng điện xoáy dựa trên định luật cảm ứng điện tử Faraday. Theo đó, dòng điện xoáy chỉ hình thành ở những vật liệu có khả năng dẫn điện. Khi một dây dẫn điện xuất hiện trong từ trường thay đổi hoặc chuyển động trong một từ trường cố định thì bên trong dây dẫn sẽ xuất hiện một suất điện động cảm ứng. Do dây dẫn có cấu tạo nguyên khối nên không có mạch cố định để dòng điện chạy thẳng nên dòng điện cảm ứng sẽ tự nhiên tạo thành vòng khép kín hay còn gọi là dòng điện xoáy.
Công thức biểu diễn định luật Faraday:

Trong đó:
- E: suất điện động cảm ứng (V)
- Φ: Từ thông đi qua bề mặt dây dẫn (Wb)
Tính chất của dòng điện Fuco
Theo định luật Lenz, dòng điện Foucault luôn nghịch với nguyên nhân tạo ra dòng điện này, bằng cách tạo ra cảm ứng từ với một từ thông ngược có khả năng chống lại sự biến thiên của từ thông đã tạo ra dòng điện xoáy; hoặc tương tác với từ trường gây ra lực cản chuyển động của dây dẫn.
Dòng điện xoáy giống như các dòng xoáy, chảy thành vòng khép kín, vuông góc với mặt phẳng của từ trường. Độ lớn của dòng điện Fuco tỉ lệ thuận với độ lớn của từ trường, diện tích của vòng dây hoặc tốc độ biến thiên của từ thông và tỉ lệ nghịch với điện trở suất của dây dẫn.

Ngoài ra, khi có suất điện động, các electron tự do trong dây dẫn chịu tác dụng của lực Lorentz sẽ bắt đầu chuyển động tạo thành các vòng điện khép kín bên trong vật liệu. Các dòng điện này gây ra hiệu ứng Joule – sự sinh nhiệt trong vật liệu, có thể ứng dụng trong nhiều lĩnh vực thực tế nhưng cũng gây tổn thất năng lượng nếu không được kiểm soát đúng cách.
Công thức tính dòng điện xoáy
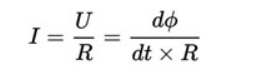
Có một vòng dây đặt trong từ trường. Khi đó, điện áp sinh ra sẽ tỷ lệ thuận với sự thay đổi từ thông của vòng dây. Theo định luật cảm ứng Faraday, ta có:

Dòng điện sinh ra trong dây lúc này là dòng điện Fuco, theo định luật Ohm tỷ lệ nghịch với điện trở R của dây:

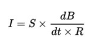
Nếu cường độ từ trường (B) đều, bao phủ diện tích mặt cắt ngang của dây dẫn (S) thì từ thông ф được tính theo công thức:

Nếu tiết diện S của dây dẫn không đổi thì công thức tính độ biến thiên từ thông như sau:

Từ đó tính được dòng điện Fuco:

Trường hợp từ trường thay đổi dạng:

dẫn đến sự biến thiên của từ thông cũng thay đổi:

Ta có công thức tổng quát tính dòng Fuco như sau:

Tác hại của dòng điện Fuco
Mất năng lượng
Máy biến áp, động cơ điện hay các thiết bị điện từ khác khi dòng điện Fuco xuất hiện trong lõi sẽ gây tổn thất năng lượng dưới dạng nhiệt. Hiện tượng này làm giảm hiệu suất hoạt động của thiết bị và có thể dẫn đến hiện tượng quá nhiệt, hư hỏng linh kiện nếu không được kiểm soát đúng cách.
Gây mài mòn
Dòng điện xoáy có thể gây ra điện trở không mong muốn, gây mài mòn các vật liệu và bộ phận xung quanh.
Nhiễu từ
Trong một số trường hợp, dòng điện Fuco có thể tạo ra nhiễu điện từ (EMI). Nhiễu điện gây ra sự giao nhau và mất sóng, đồng thời ảnh hưởng đến hiệu suất và chất lượng của các thiết bị điện tử xung quanh, đặc biệt là trong các mạch điện tử và hệ thống cảm biến có độ chính xác cao.
Ứng dụng của dòng điện xoáy
Dòng điện Fuco là “con dao hai lưỡi” trong kỹ thuật điện từ. Tùy từng trường hợp, hiện tượng này có thể gây tổn thất năng lượng nhưng các nhà khoa học còn áp dụng nguyên lý hoạt động trong nhiều lĩnh vực công nghệ.
- Hệ thống phanh điện từ: Dòng điện xoáy tạo ra lực phanh làm chậm hoặc dừng chuyển động không ma sát, giảm mài mòn và tăng độ bền cho hệ thống phanh trên các phương tiện giao thông như tàu hỏa, thang máy, xe tải nặng, tàu lượn siêu tốc, v.v.

- Sưởi ấm cảm ứng: Trong các lò nung cảm ứng và lò luyện kim, hiện tượng sinh nhiệt của dòng điện Fuco được khai thác để nấu chảy kim loại, phục vụ cho quá trình nấu chảy, rèn hoặc hàn.
- Kiểm tra không phá hủy vật liệu: Dòng điện Fuco được sử dụng để kiểm tra các khuyết tật kim loại mà không phá hủy mẫu vật. Phương pháp này có khả năng phát hiện các vết nứt, lỗ rỗng hoặc khuyết tật bên trong vật liệu mà mắt thường không thể quan sát được.

- Điện kế và đồng hồ đo điện: Dòng điện xoáy dùng để tạo lực cản, giúp kim chỉ báo luôn ở vị trí ổn định và không dao động quá mức.
- Lĩnh vực y tế: Dòng điện xoáy được sử dụng trong Liệu pháp Tập thể dục Xe đạp để hỗ trợ bác sĩ xác định bệnh tim thiếu máu cục bộ.
Biện pháp khắc phục tác động tiêu cực của dòng Fuco
Dựa vào nguyên nhân gây ra dòng điện Fuco có thể thấy khi điện trở của dây dẫn tăng thì dòng điện Fuco sẽ giảm. Ngoài ra, dòng điện xoáy còn có đặc điểm là tỷ lệ thuận với diện tích vật dẫn. Nghĩa là dây dẫn càng lớn thì dòng điện xoáy càng lớn.
Từ đây có những phương pháp được áp dụng nhằm giảm thiểu tác hại của dòng điện Fuco như sau:
Chia khối dây dẫn thành từng phần nhỏ
Thay vì sử dụng một khối vật liệu liền mạch, có thể phá vỡ các tấm kim loại mỏng sơn tĩnh điện và nối chúng lại với nhau. Điều này đảm bảo các tấm cắt song song với hướng của từ trường, làm giảm hiện tượng dòng điện Fuco.

Tăng điện trở của dây dẫn
Bằng cách sử dụng lõi tôn silicon hoặc gốm ferit, có thể tăng điện trở của dây dẫn, giảm tác động của dòng điện Fuco.
Tối ưu hóa thiết kế hình học và đường dẫn từ
Hình dạng của lõi từ và cách sắp xếp cuộn dây ảnh hưởng đến đường đi của từ trường và sự hình thành dòng điện Foucault. Các hình dạng lõi phức tạp hơn (chẳng hạn như lõi hình xuyến, lõi EI) có thể được thiết kế để tối ưu hóa đường dẫn từ thông và hạn chế các khu vực có dòng điện Foucault mạnh.
Trong động cơ, việc tối ưu hóa khe hở không khí giữa stato và rôto cũng giúp kiểm soát sự biến đổi của từ trường và giảm dòng điện Foucault.
Một số câu hỏi thường gặp về dòng điện Fuco
Câu 1: Ai là người phát minh ra dòng điện Fuco?
Hồi đáp: Dòng điện Fuco được nhà vật lý người Pháp Léon Foucault phát hiện vào năm 1855. Ông cũng là người phát minh ra con lắc Foucault.
Câu 2: Dòng điện xoáy có đặc điểm gì?
Hồi đáp: Đặc điểm cơ bản nhất của dòng Fuco là tính chất xoáy của nó. Dòng điện này có hình tròn khép kín, giống như xoáy nước trong dòng nước.

Câu hỏi 3: Dòng điện Fuco được kiểm tra bằng phương pháp nào?
Hồi đáp: Fuco có thể được kiểm tra thông qua kiểm tra dòng điện xoáy, tức là kiểm tra vật liệu không phá hủy. Bằng cách sử dụng các đầu dò được đưa vào vật liệu cần kiểm tra, các kỹ sư điện có thể xác định các khuyết tật của vật liệu để đánh giá chất lượng và độ an toàn của thiết bị và phương tiện.
Trên đây là những thông tin quan trọng liên quan đến dòng điện Fuco. Hy vọng bạn hài lòng với những kiến thức được cung cấp. Chúng tôi sẽ tiếp tục cập nhật nhiều thuật ngữ ngành điện khác tại: https://btb-electric.com/vi/tin-tuc/kien-thuc-nganh/thuat-ngu-nganh-dien/. Mời các bạn đọc

Nội dung được phát triển bởi đội ngũ truonglehongphong.edu.vn với mục đích chia sẻ và tăng trải nghiệm khách hàng. Mọi ý kiến đóng góp xin vui lòng liên hệ tổng đài chăm sóc: 1900 0000 hoặc email: hotro@truonglehongphong.edu.vn