Điện dung là gì? Công thức tính và ứng dụng

Khi có dòng điện xoay chiều chạy qua, các bản tụ sẽ tích điện trái dấu. Khoảng không gian giữa hai bản sẽ tích tụ một điện trường và giá trị này sẽ phụ thuộc vào điện dung của tụ điện. Vậy điện dung là gì, công thức tính điện dung là gì và ứng dụng thực tế ra sao? Mời bạn tham khảo bài phân tích sau đây của KTH ELECTRIC.

Điện dung của tụ điện là gì?

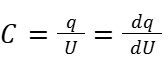
Điện dung là một đại lượng vật lý biểu thị khả năng tích trữ điện tích của tụ điện. Đại lượng này dựa trên tỷ số giữa điện tích trên cặp bản với điện áp của dòng điện chạy qua nó. Công thức tính điện dung như sau:

y học kỹ thuật số 1

Trong đó:

  • C là điện dung (Fara, F)
  • q là điện tích tích trữ (Coulomb, C)
  • U là điện áp (Volt, V)

Các bản dẫn điện có điện tích Q1 và Q2 (nếu một bản có điện tích +q thì bản kia có điện tích –q). Điện trường ở vùng giữa hai tấm phụ thuộc vào lượng điện tích cung cấp cho các tấm đó. Giá trị này tỷ lệ thuận với giá trị điện dung của tụ điện, trong khi đó hiệu điện thế giữa hai đầu mạch tỷ lệ nghịch với điện dung.

ứng dụng 1

Đơn vị của điện dung là F, đơn vị liên quan thường được sử dụng là:

Xem thêm  Cuộn kháng trung thế: Chức năng và ứng dụng

y học kỹ thuật số 2

y học kỹ thuật số 3

y học kỹ thuật số 4

y học kỹ thuật số 5

Ngoài điện tích và điện áp, điện dung còn phụ thuộc vào diện tích tiếp xúc, khoảng cách giữa hai bản tụ, vật liệu làm bản tụ và nhiệt độ của tụ điện, cụ thể:

  • Diện tích bề mặt tiếp xúc: Diện tích càng lớn thì lớp electron càng dày, tăng khả năng tích trữ điện tích nên điện dung càng cao.
  • Khoảng cách tấm: Khoảng cách càng nhỏ thì điện trường càng mạnh, khả năng hút điện tích càng tăng nên điện dung càng cao.
  • Vật liệu làm điện cực: Vật liệu có điện dung riêng cao sẽ làm cho điện dung của tụ cao hơn.
  • Nhiệt độ tụ điện: Nhiệt độ tăng làm giảm độ dẻo, tăng độ dẫn điện khiến điện dung giảm.
  • Điện áp: Tỉ lệ nghịch với điện dung theo công thức tính.

Điện dung trong tụ điện thường có đơn vị là F

Công thức tính điện dung của tụ điện

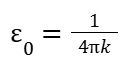
Trong công thức tính điện dung của tụ điện, ɛ là hằng số điện môi của lớp cách điện giữa hai bản. ɛ0 và k là hai hằng số quan trọng với:

  • y học kỹ thuật số 6
  • y học kỹ thuật số 7

Trong tụ điện phẳng:

y học số 8

Trong đó:

  • d là độ dày lớp cách nhiệt (khoảng cách giữa hai tấm) (m, m)
  • S là diện tích cột (mét vuông, m2)
  • 0 là hằng số điện môi, trong không khí là y học kỹ thuật số 9

Ví dụ, một tụ điện gồm có 2 tấm kim loại có diện tích 30cm x 50xm, cách nhau 10 mm và sử dụng không khí làm chất điện môi duy nhất. Cách tính điện dung của tụ điện như sau:

Xem thêm  Cách xử lý nhanh khi aptomat bị cháy

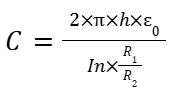
Trong tụ điện hình trụ:

y học số 14

Trong đó:

  • h là chiều cao tụ điện (m, m)
  • R₁ là bán kính tiết diện của mặt trụ trong (m, m)
  • R₂ là bán kính tiết diện mặt trụ ngoài (m, m)
  • In là dòng điện định mức của tụ điện (ampe, A)

Trong tụ điện cầu:

y học số 15

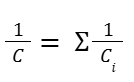
Khi mắc các tụ điện nối tiếp:

y học số 16

Khi mắc song song các tụ điện:

y học kỹ thuật số 17

Với i = 1, 2, 3,…, n

Đọc thêm: Điện kháng của tụ điện là gì? Công thức tính toán và ứng dụng

Cách tăng điện dung của tụ điện

Để tăng giá trị điện dung của tụ điện cần ảnh hưởng đến các yếu tố ảnh hưởng đến đại lượng này:

  • Tăng diện tích bề mặt: Sử dụng cấu trúc ngưng tụ có diện tích bề mặt lớn hơn hoặc thay đổi hình dạng điện cực.
  • Giảm khe hở điện cực: Sử dụng tụ điện có thiết kế tiên tiến.
  • Thay đổi vật liệu điện cực: Sử dụng vật liệu có điện dung riêng cao hơn như polyme hoặc hợp chất chất lượng cao.
  • Sử dụng tụ điện chất lượng cao: Chọn tụ điện sử dụng công nghệ và thiết kế mới.
  • Giảm điện áp hoạt động: Cần phải thực hiện cẩn thận vì có nguy cơ cháy, hỏng tụ điện.

Giá trị điện dung của dàn tụ điện ảnh hưởng đến sự an toàn của thiết bị điện và con người khi vận hành. Vì vậy, khi thiết kế và lựa chọn tụ điện các bạn nên chú ý đến thông số này. Để tìm hiểu thêm các thuật ngữ trong ngành điện, xem: https://btb-electric.com/vi/tin-tuc/kien-thuc-nganh/thuat-ngu-nganh-dien/

Xem thêm  Eddy Current là gì? Hướng dẫn phương pháp kiểm tra dòng điện xoáy

Nội dung được phát triển bởi đội ngũ truonglehongphong.edu.vn với mục đích chia sẻ và tăng trải nghiệm khách hàng. Mọi ý kiến đóng góp xin vui lòng liên hệ tổng đài chăm sóc: 1900 0000 hoặc email: hotro@truonglehongphong.edu.vn

Để lại một bình luận

Email của bạn sẽ không được hiển thị công khai. Các trường bắt buộc được đánh dấu *