Nội dung bài viết
Nghiên cứu cho thấy vật liệu cách điện hoàn toàn có thể dẫn điện nếu áp dụng một lượng điện nhất định. Đây được gọi là hiện tượng hỏng hóc. Tương ứng, giá trị điện áp tối thiểu gây ra hiện tượng này được gọi là điện áp đánh thủng. Hãy cùng tìm hiểu về khái niệm, phân loại và kiểm tra điện áp đánh thủng trong bài viết sau đây của chúng tôi.
Khái niệm về điện áp đánh thủng
Điện áp đánh thủng hay còn gọi là độ bền điện môi, độ bền điện môi của vật liệu. Đây là mức điện áp tối thiểu khiến vật liệu cách điện không còn giữ được khả năng ngăn dòng điện mà đóng vai trò như một chất dẫn điện.
Về lý thuyết, vật liệu cách điện không dẫn điện. Tuy nhiên, khi điện áp đạt đến một ngưỡng nhất định, lớp cách điện trên vật liệu sẽ bị phá vỡ, mất khả năng cách điện và trở thành vật dẫn điện có điện trở cao.

Trên thực tế, chất cách điện không thể dẫn điện vì không có điện tích chuyển động tự do. Tuy nhiên, khi một số cặp electron bị đứt do điện áp quá cao, quá trình ion hóa bắt đầu trong vật liệu, gây ra sự hình thành các electron di động tự do. Các electron này di chuyển từ cực dương sang cực âm tạo ra dòng điện. Lúc này, điện áp đánh thủng làm cho chất cách điện hoạt động như một dây dẫn.
Giá trị điện áp này không cố định, tùy thuộc vào thành phần vật liệu, hình dạng, kích thước… Ví dụ, gốm có độ bền điện môi khoảng 100kV/inch, độ bền điện môi của thủy tinh cao hơn gốm 20 lần, của không khí là 3kV/mm, cáp điện có độ bền điện môi lần lượt là 15kV/mm đối với vật liệu PVC và 21kV/mm đối với XLPE… Vì vậy, giá trị mà nhà sản xuất đưa ra thường là giá trị điện áp đánh thủng trung bình.
Hiện nay, điện áp đánh thủng đóng vai trò quan trọng trong việc thiết kế, thử nghiệm các thiết bị điện, linh kiện điện tử nhằm đảm bảo an toàn trong quá trình vận hành.
Phân loại điện áp đánh thủng
Có 3 loại điện áp đánh thủng phổ biến: đánh thủng Diode, Diode Zener và đánh thủng Avalanche.
Điện áp đánh thủng diode
Điốt là một chất bán dẫn có tính chất điện nằm giữa chất dẫn điện và chất cách điện. Diode tiếp giáp PN được chế tạo từ hai vật liệu loại P và N, chứa một vùng khe hở nơi diễn ra sự trao đổi giữa các hạt tích điện.
Khi áp dụng phân cực thuận, dòng điện chạy theo chiều thuận và xảy ra hiện tượng dẫn điện. Khi áp dụng phân cực ngược, sự dẫn điện không xảy ra nhưng một dòng điện ngược nhỏ vẫn chạy qua, gọi là dòng rò.
Điện áp đánh thủng trong diode là điện áp ngược tối thiểu khiến diode dẫn điện ngược chiều đáng kể, khiến dòng điện tăng nhanh. Hiện tượng này xảy ra khi điện trường qua điểm nối của diode trở nên đủ mạnh để các hạt mang điện chạy qua, phá vỡ rào cản của điểm nối một cách hiệu quả.
Điện áp đánh thủng ngược của diode phụ thuộc rất lớn vào tính chất vật liệu và nồng độ pha tạp trong chất bán dẫn.

Có hai cơ chế phân tích chính trong điốt:
Sự cố Zener: Xảy ra ở điện áp ngược thấp hơn (
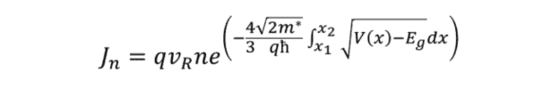
Công thức tính sự cố dòng điện qua đường hầm diode như sau:

Sự cố tuyết lở: Xảy ra ở điện áp ngược cao hơn và liên quan đến quá trình ion hóa các nguyên tử trong vật liệu bán dẫn, dẫn đến phản ứng dây chuyền tạo ra các cặp electron-lỗ trống. Loại sự cố này không có giá trị điện áp đánh thủng cụ thể mà được xác định theo hệ số nhân và dòng điện tổng là tích của hệ số nhân này và dòng điện bão hòa.
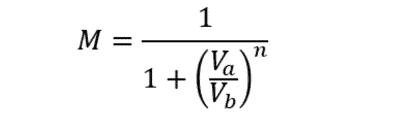
Công thức tính hệ số nhân cho sự cố tuyết lở:

Điện áp đánh thủng của Zener Diode
Điốt Zener được sử dụng làm khối xây dựng cơ bản để cung cấp điện áp tham chiếu trong các mạch điện tử và được thiết kế để hoạt động ở các vùng đánh thủng của điốt.
Điốt Zener có thể hoạt động ở các vùng phân cực ngược – nơi xảy ra sự cố do hiệu ứng Zener. Trong hiệu ứng này, khi điện trường của diode phân cực tăng lên, sự di chuyển của các electron hóa trị vào vùng dẫn sẽ xảy ra, làm cho các hạt mang điện thiểu số tăng lên và dòng điện ngược cũng sẽ tăng lên. Các nhà khoa học gọi đây là hiệu ứng Zener và điện áp tối thiểu tại đó hiệu ứng Zener bắt đầu được gọi là điện áp đánh thủng Zener.
Vượt qua sự cố kiến trúc Avalanche
Trong trường hợp diode có độ pha tạp nhẹ, lỗi xảy ra do hiệu ứng tháp Avalanche. Trong hiệu ứng này, điện trường tăng làm cho diode hoạt động phân cực ngược khiến các hạt mang điện thiểu số thu được động năng và va chạm với các cặp electron-lỗ trống, phá vỡ liên kết cộng hóa trị của chúng và tạo ra các hạt mang điện mới.

Sự gia tăng các hạt mang điện tối thiểu là nguyên nhân làm tăng dòng điện ngược gây ra sự cố. Ở đây, điện áp đánh thủng được gọi là điện áp đánh thủng Avalanche.
Các yếu tố ảnh hưởng đến điện áp đánh thủng
Lỗi điện
Các sự cố về điện thường xảy ra sau một thời gian vận hành thiết bị. Trong quá trình này, lớp cách điện chịu tác dụng của các lực nhiệt, hóa học và cơ học sẽ khiến tính chất cách điện bị lão hóa và suy giảm.
Dưới tác động của điện áp cao, hiện tượng phóng điện cục bộ hoặc bong bóng bên trong lớp cách nhiệt,… độ bền của lớp cách nhiệt sẽ giảm. Khi có tải hoặc điện áp quá tải kéo dài sẽ xảy ra sự cố về điện.
chất rắn
Trong các vật liệu rắn (ví dụ như dây cáp điện), hiện tượng phóng điện cục bộ trong thời gian dài làm suy giảm chất cách điện và kim loại gần khe hở điện áp. Đến một ngưỡng điện áp nhất định, một dòng hạt tích điện tràn qua, gây ra hiện tượng đánh thủng, biến vật liệu rắn thành chất dẫn điện.

Điện áp đánh thủng của vật liệu rắn không phải là một giá trị xác định mà là một dạng hư hỏng ở một điện áp nhất định. Một thuật ngữ khác liên quan đến điện áp đánh thủng là điện áp chịu được, trong đó xác suất hỏng hóc của thiết bị liên quan đến điện áp thấp đến mức khi thiết kế lớp cách điện, nhà sản xuất tuyên bố rằng vật liệu sẽ không bị ảnh hưởng trên ngưỡng này.
Hai công thức đo điện áp đánh thủng của vật liệu được xác định là điện áp đánh thủng AC và điện áp xung. Điện áp xoay chiều là tần số dòng của nguồn điện chính. Điện áp đánh thủng xung mô phỏng một tia sét và thường sử dụng mức tăng 1,2 micro giây để đưa sóng lên biên độ 90%, sau đó giảm xuống biên độ 50% sau 50 micro giây.
Không khí
Trong điều kiện tiêu chuẩn ở áp suất khí quyển, không khí là chất cách điện tuyệt vời với điện áp đánh thủng khoảng 3kV/mm. Sự cố này cũng bị ảnh hưởng bởi các yếu tố như độ ẩm và phạm vi nhiệt độ.
Trong chất khí, điện áp đánh thủng có thể được xác định theo định luật Paschen, theo công thức:

Trong đó:
- Vb: điện áp đánh thủng ở VDC
- A và B: hằng số phụ thuộc vào khí xung quanh
- p: áp suất của khí xung quanh
- d: khoảng cách giữa các điện cực (đơn vị mm)
- γse: hệ số phát xạ electron thứ cấp
Điốt và chất bán dẫn
Trên thực tế, diode Zener là một diode pha tạp khai thác giá trị điện áp đánh thủng để cung cấp khả năng điều chỉnh mức điện áp của diode.
Diode chỉnh lưu (chất bán dẫn hoặc ống/van) có thể có một số mức điện áp, ví dụ như điện áp nghịch đảo cực đại (PIV) trên diode và điện áp đầu vào RMS tối đa của mạch chỉnh lưu (thường nhỏ hơn nhiều).

Để tránh làm hỏng thiết bị và hạn chế ảnh hưởng của dòng điện rò đến các mạch xung quanh, các bóng bán dẫn lưỡng cực được ấn định mức điện áp tối đa như sau:
- VCEO: Điện áp tối đa giữa cực thu và cực phát khi không có mạch ở đế bóng bán dẫn để loại bỏ rò rỉ cực thu-cực phát, với giá trị điển hình: 20V – 700V.
- VCBO: Điện áp tối đa từ cực thu đến cực gốc, có mạch hở cực phát, giá trị điển hình từ 25V đến 1200V.
- VEBO: Điện áp ngược tối đa trên đế so với bộ phát, giá trị điển hình là khoảng 5V và sẽ cao hơn đối với bóng bán dẫn Germanium, thấp hơn đối với bóng bán dẫn UHF.
Thiết bị điện
Thiết bị điện thường có mức xung sét cơ bản (BIL). Đây là giá trị cực đại của dạng sóng xung có dạng sóng tiêu chuẩn, nhằm mục đích mô phỏng ứng suất điện áp (điện áp nguy hiểm) của xung sét hoặc xung sét do chuyển mạch gây ra.
Đối với đường dây điện cao thế, mức xung sét có liên quan đến khoảng cách từ mặt đất đến các bộ phận mang điện. Ví dụ: một đường dây truyền tải có điện áp định mức 138kV sẽ được thiết kế cho BIL là 650kV.
Ngoài các yếu tố trên, áp suất không khí thấp hơn, độ ẩm cao hơn, bụi hoặc chất gây ô nhiễm bề mặt và sự hiện diện của các giọt nước do sương mù hoặc mưa đều sẽ ảnh hưởng đến điện áp đánh thủng.
Cách kiểm tra điện áp đánh thủng
Sự cố điện là nguyên nhân gây nổ cầu chì hoặc đoản mạch. Vì vậy, để đảm bảo an toàn khi sử dụng và tăng tuổi thọ cho các thiết bị trên, có thể kiểm tra điện áp đánh thủng bằng 2 loại máy chuyên dụng phổ biến sau:
Đồng hồ đo điện áp đánh thủng dầu cách điện
Đồng hồ đo điện áp đánh thủng dầu cách điện là thiết bị kiểm tra điện áp hoàn toàn tự động, có khả năng xác định điện áp đánh thủng của chất lỏng cách điện.

Tính năng nổi bật:
- Có tới mười trình tự thử nghiệm và người dùng có thể lập trình miễn phí.
- Máy đã được lập trình sẵn các tiêu chuẩn thử nghiệm chung cho cả trong và ngoài nước.
- Có màn hình đồ họa có đèn nền và nhiều ngôn ngữ cho bạn lựa chọn.
- Vỏ ngoài được làm bằng nhôm chắc chắn và buồng thử nghiệm được che chắn cẩn thận.
Đồng hồ đo điện áp đánh thủng
Đồng hồ đo điện áp đánh thủng là thiết bị chuyên dùng để kiểm tra điện trở và điện áp chịu đựng của các linh kiện, thiết bị điện khác nhau, kiểm tra điện trở ở 500V hoặc 1000V và chịu được điện áp đến 500VA.

Tính năng nổi bật:
- Có thể lưu tối đa 10 cài đặt kiểm tra.
- Kiểm tra mức cách điện 500/1000V và điện áp chịu đựng của máy biến áp công suất 500VA.
- Điện áp đánh thủng có thể được kiểm tra ở chế độ tự động.
Câu hỏi thường gặp về điện áp đánh thủng
Câu 1: Điện áp đánh thủng của không khí là gì?
Trả lời: Trong điều kiện tiêu chuẩn, không khí có điện áp đánh thủng khoảng 3kV/mm.
Câu 2: Phân biệt điện áp đánh thủng và độ bền điện môi?
Trả lời: Về bản chất, độ bền điện môi nhấn mạnh giá trị cường độ điện trường tối đa mà vật liệu điện có thể chịu được, tức là hiệu suất cách điện của chất điện môi. Trong khi đó, điện áp đánh thủng là giá trị điện áp mà tại đó vật liệu điện bị đánh thủng dưới một cường độ điện trường nhất định.
KTH ELECTRIC vừa giới thiệu đến các bạn tổng quan về điện áp đánh thủng. Về lý thuyết, thuật ngữ này là một dạng lỗi thiết bị. Tuy nhiên, trên thực tế, sự đánh thủng điện môi đóng một vai trò quan trọng trong việc thiết kế các mạch tích hợp và các thiết bị điện tử thể rắn khác.
Chúng tôi sẽ thường xuyên cập nhật những thông tin mới nhất về thuật ngữ ngành điện tại: https://btb-electric.com/vi/tin-tuc/kien-thuc-nganh/thuat-ngu-nganh-dien/. Mời bạn truy cập để theo dõi.

Nội dung được phát triển bởi đội ngũ truonglehongphong.edu.vn với mục đích chia sẻ và tăng trải nghiệm khách hàng. Mọi ý kiến đóng góp xin vui lòng liên hệ tổng đài chăm sóc: 1900 0000 hoặc email: hotro@truonglehongphong.edu.vn